🇳🇴 🇬🇧 🇩🇪 🇨🇿 🇫🇮

Meteor, poloha: Storsteinnes 2024-11-20 20:45:53 UTC

Soubor KML  |  InteraktivnĂ­ mapa

Mapa zobrazuje dráhy meteoru. Světlejší čáry ukazují směry od pozorovacích stanic při objevení se meteoru a tmavší čáry, kde byl naposledy viděn. Modrá šipka značí viditelnou dráhu meteoru.

static map
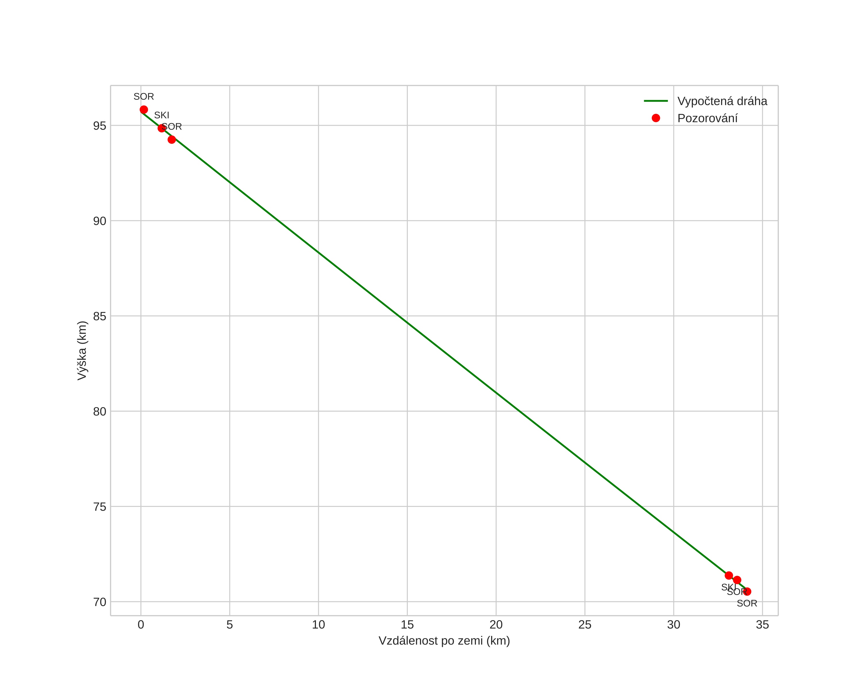
height profile
Atmosférická dráha meteoru:
Počáteční výška: 95,8 km
Konečná výška: 70,6 km
Počáteční poloha: 68,749N 20,057E
Konečná poloha: 68,976N 19,481E
Směr: 317,9°
Sklon: 36,4°
VstupnĂ­ rychlost: 28,5 km/s
Rektascenze radiantu: 04:27 (66,8°)
Deklinace radiantu: 17,3°
MeteorickĂ˝ roj: SevernĂ­ Tauridy
Elementy dráhy meteoroidu:
Vzdálenost v periheliu: 0,417 AU
Excentricita: 0,796
Sklon dráhy: 4,4°
Délka vzestupného uzlu: 58,7°
Argument perihelia: 107,7°
Střední anomálie: 345,1°
Epocha: 2024 NOV 20 20:45:53
orbit plot

NeinteraktivnĂ­ graf | InteraktivnĂ­ graf

position vs time
speed and acceleration