🇳🇴 🇬🇧 🇩🇪 🇨🇿 🇫🇮

Meteor, poloha: Porsgrunn 2024-11-20 23:13:56 UTC

Soubor KML  |  InteraktivnĂ­ mapa

Mapa zobrazuje dráhy meteoru. Světlejší čáry ukazují směry od pozorovacích stanic při objevení se meteoru a tmavší čáry, kde byl naposledy viděn. Modrá šipka značí viditelnou dráhu meteoru.

static map
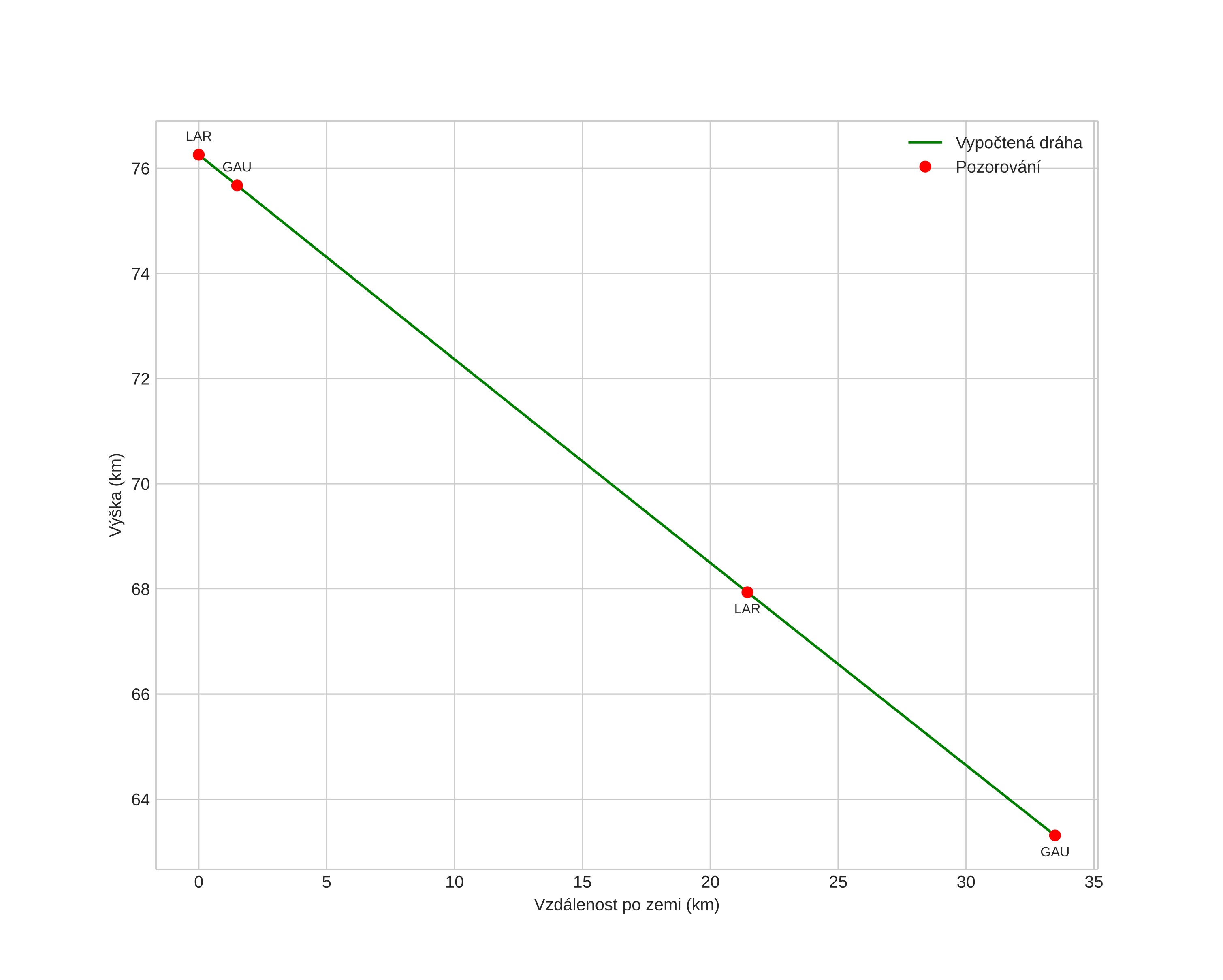
height profile
Atmosférická dráha meteoru:
Počáteční výška: 75,7 km
Konečná výška: 63,0 km
Počáteční poloha: 59,033N 9,071E
Konečná poloha: 59,106N 9,624E
Směr: 75,3°
Sklon: 21,2°
VstupnĂ­ rychlost: 13,4 km/s
Rektascenze radiantu: 22:39 (340,0°)
Deklinace radiantu: -7,6°
MeteorickĂ˝ roj: sporadickĂ˝
Elementy dráhy meteoroidu:
Vzdálenost v periheliu: 0,985 AU
Excentricita: 0,600
Sklon dráhy: 0,2°
Délka vzestupného uzlu: 237,7°
Argument perihelia: 187,8°
Střední anomálie: 358,6°
Epocha: 2024 NOV 20 23:13:56
orbit plot

NeinteraktivnĂ­ graf | InteraktivnĂ­ graf

position vs time
speed and acceleration