🇳🇴 🇬🇧 🇩🇪 🇨🇿 🇫🇮

Meteor, poloha: Hoverberg 2024-11-20 23:47:57 UTC

Soubor KML  |  InteraktivnĂ­ mapa

Mapa zobrazuje dráhy meteoru. Světlejší čáry ukazují směry od pozorovacích stanic při objevení se meteoru a tmavší čáry, kde byl naposledy viděn. Modrá šipka značí viditelnou dráhu meteoru.

static map
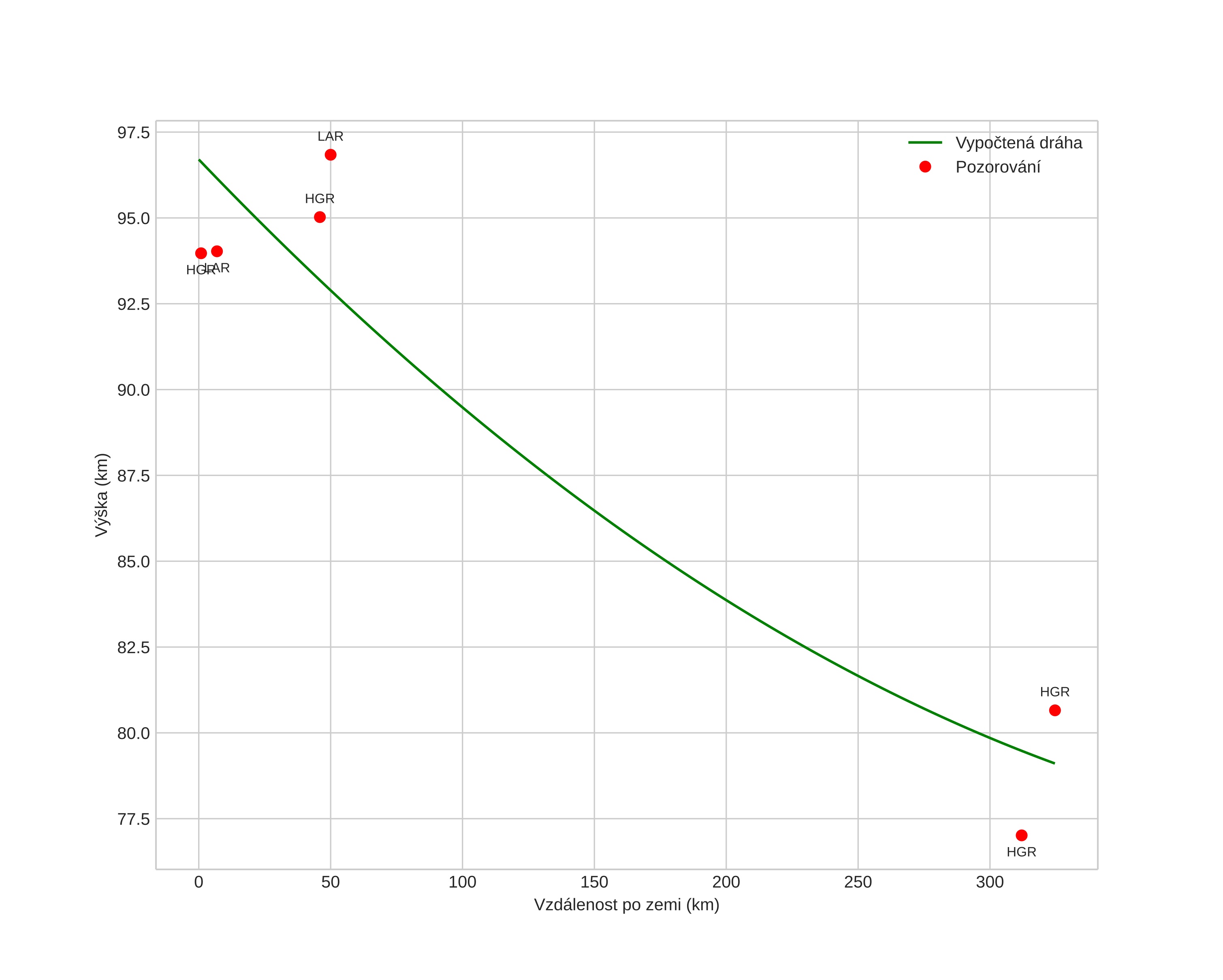
height profile
Atmosférická dráha meteoru:
Počáteční výška: 121,2 km
Konečná výška: 90,3 km
Počáteční poloha: 62,831N 16,049E
Konečná poloha: 62,721N 14,557E
Směr: 261,5°
Sklon: 21,9°
VstupnĂ­ rychlost: 41,2 km/s
Rektascenze radiantu: 10:43 (160,8°)
Deklinace radiantu: 22,2°
MeteorickĂ˝ roj: sporadickĂ˝
Elementy dráhy meteoroidu:
Vzdálenost v periheliu: 0,087 AU
Excentricita: 0,839
Sklon dráhy: 132,5°
Délka vzestupného uzlu: 238,8°
Argument perihelia: 2,8°
Střední anomálie: 162,7°
Epocha: 2024 NOV 20 23:47:57
orbit plot

NeinteraktivnĂ­ graf | InteraktivnĂ­ graf

position vs time
speed and acceleration