🇳🇴 🇬🇧 🇩🇪 🇨🇿 🇫🇮

Meteor, poloha: Vikøyri 2024-11-21 00:38:46 UTC

Soubor KML  |  InteraktivnĂ­ mapa

Mapa zobrazuje dráhy meteoru. Světlejší čáry ukazují směry od pozorovacích stanic při objevení se meteoru a tmavší čáry, kde byl naposledy viděn. Modrá šipka značí viditelnou dráhu meteoru.

static map
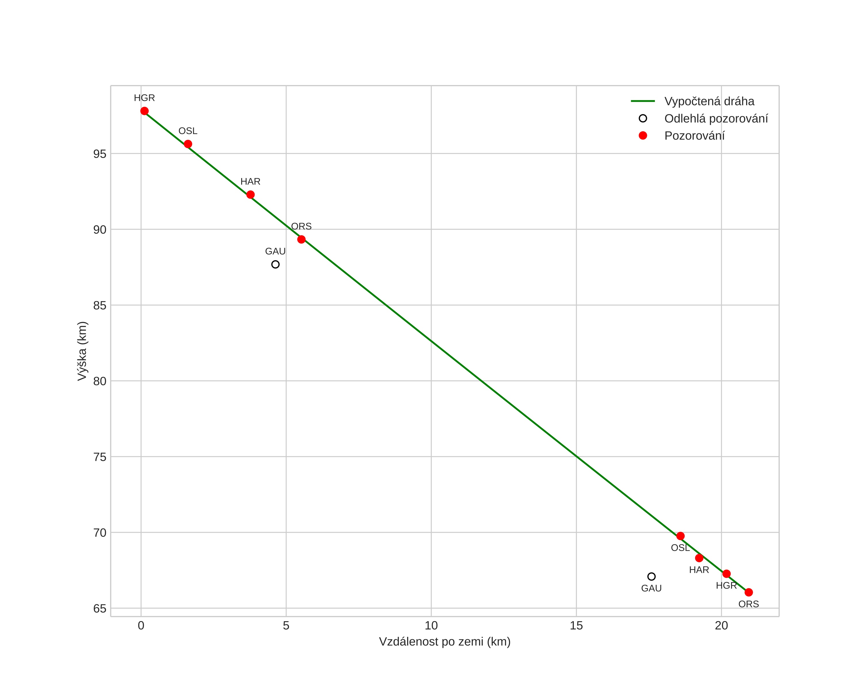
height profile
Atmosférická dráha meteoru:
Počáteční výška: 98,2 km
Konečná výška: 65,8 km
Počáteční poloha: 60,910N 6,603E
Konečná poloha: 61,092N 6,724E
Směr: 17,7°
Sklon: 56,6°
VstupnĂ­ rychlost: 29,8 km/s
Rektascenze radiantu: 04:18 (64,6°)
Deklinace radiantu: 26,9°
MeteorickĂ˝ roj: SevernĂ­ Tauridy
Elementy dráhy meteoroidu:
Vzdálenost v periheliu: 0,409 AU
Excentricita: 0,839
Sklon dráhy: 5,7°
Délka vzestupného uzlu: 238,8°
Argument perihelia: 286,6°
Střední anomálie: 349,7°
Epocha: 2024 NOV 21 00:38:46
orbit plot

NeinteraktivnĂ­ graf | InteraktivnĂ­ graf

position vs time
speed and acceleration