🇳🇴 🇬🇧 🇩🇪 🇨🇿 🇫🇮

Meteor, poloha: Engerdal 2024-11-21 00:49:40 UTC

Soubor KML  |  InteraktivnĂ­ mapa

Mapa zobrazuje dráhy meteoru. Světlejší čáry ukazují směry od pozorovacích stanic při objevení se meteoru a tmavší čáry, kde byl naposledy viděn. Modrá šipka značí viditelnou dráhu meteoru.

static map
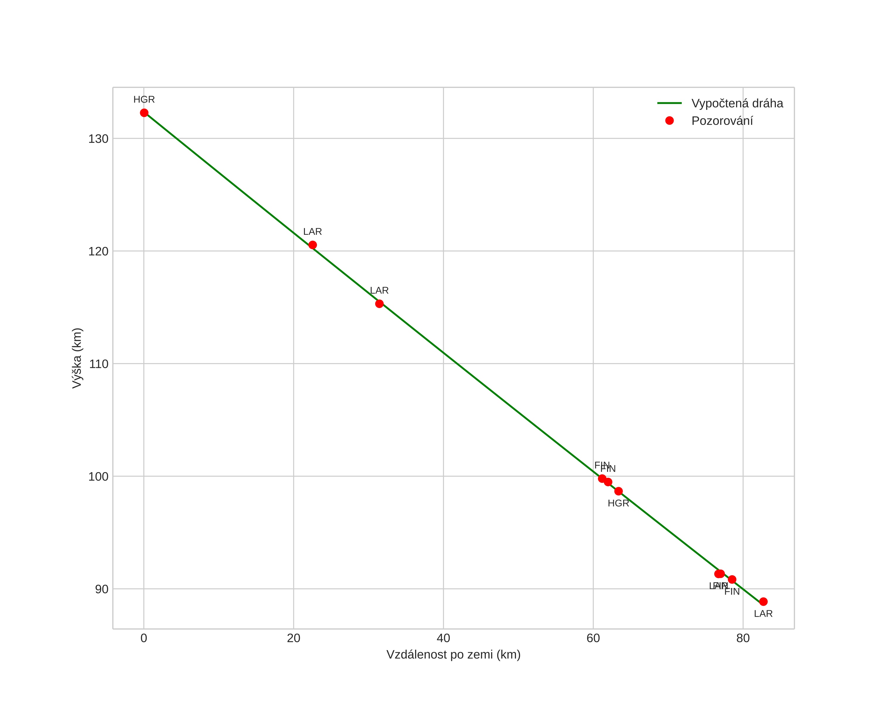
height profile
Atmosférická dráha meteoru:
Počáteční výška: 114,8 km
Konečná výška: 90,0 km
Počáteční poloha: 61,891N 12,655E
Konečná poloha: 61,935N 11,762E
Směr: 276,4°
Sklon: 27,8°
VstupnĂ­ rychlost: 56,3 km/s
Rektascenze radiantu: 10:24 (156,1°)
Deklinace radiantu: 21,0°
MeteorickĂ˝ roj: sporadickĂ˝
Elementy dráhy meteoroidu:
Vzdálenost v periheliu: 0,585 AU
Excentricita: 0,257
Sklon dráhy: 157,8°
Délka vzestupného uzlu: 238,9°
Argument perihelia: 6,1°
Střední anomálie: 170,0°
Epocha: 2024 NOV 21 00:49:40
orbit plot

NeinteraktivnĂ­ graf | InteraktivnĂ­ graf

position vs time
speed and acceleration