🇳🇴 🇬🇧 🇩🇪 🇨🇿 🇫🇮

Meteor, poloha: Byrum 2024-11-21 01:31:12 UTC

Soubor KML  |  InteraktivnĂ­ mapa

Mapa zobrazuje dráhy meteoru. Světlejší čáry ukazují směry od pozorovacích stanic při objevení se meteoru a tmavší čáry, kde byl naposledy viděn. Modrá šipka značí viditelnou dráhu meteoru.

static map
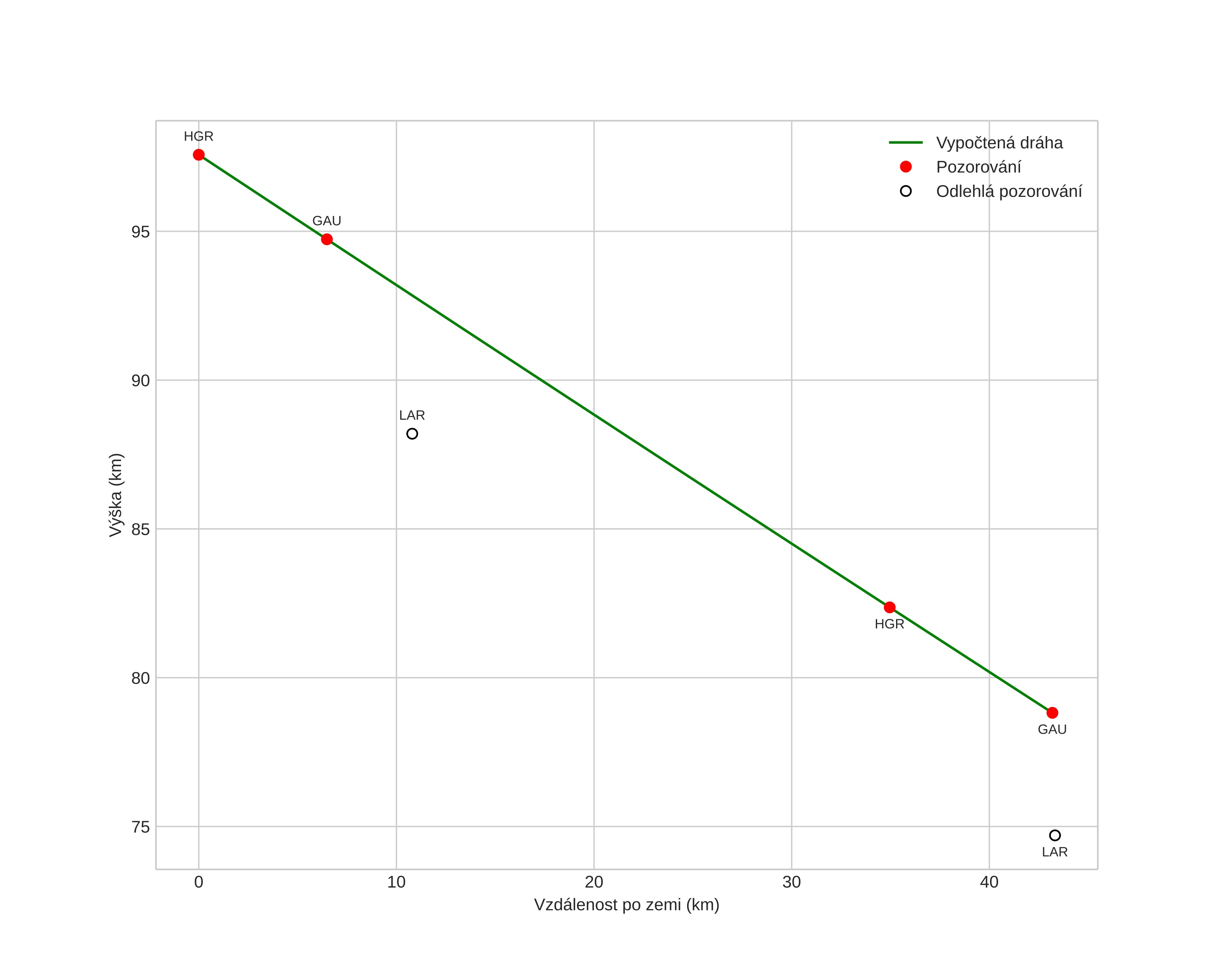
height profile
Atmosférická dráha meteoru:
Počáteční výška: 97,4 km
Konečná výška: 80,3 km
Počáteční poloha: 57,180N 11,618E
Konečná poloha: 57,348N 11,065E
Směr: 299,5°
Sklon: 24,1°
VstupnĂ­ rychlost: 64,7 km/s
Rektascenze radiantu: 09:50 (147,6°)
Deklinace radiantu: 5,3°
MeteorickĂ˝ roj: sporadickĂ˝
Elementy dráhy meteoroidu:
Vzdálenost v periheliu: 0,984 AU
Excentricita: 0,282
Sklon dráhy: 166,2°
Délka vzestupného uzlu: 58,9°
Argument perihelia: 10,7°
Střední anomálie: 354,2°
Epocha: 2024 NOV 21 01:31:12
orbit plot

NeinteraktivnĂ­ graf | InteraktivnĂ­ graf

position vs time
speed and acceleration