🇳🇴 🇬🇧 🇩🇪 🇨🇿 🇫🇮

Meteor, poloha: Geilo 2024-11-21 01:57:22 UTC

Soubor KML  |  InteraktivnĂ­ mapa

Mapa zobrazuje dráhy meteoru. Světlejší čáry ukazují směry od pozorovacích stanic při objevení se meteoru a tmavší čáry, kde byl naposledy viděn. Modrá šipka značí viditelnou dráhu meteoru.

static map
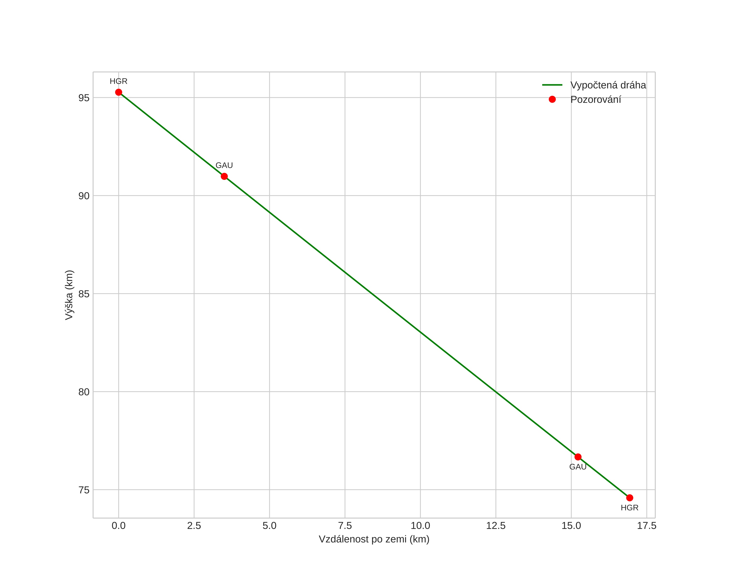
height profile
Atmosférická dráha meteoru:
Počáteční výška: 95,2 km
Konečná výška: 74,7 km
Počáteční poloha: 60,596N 7,656E
Konečná poloha: 60,704N 7,867E
Směr: 43,5°
Sklon: 50,9°
VstupnĂ­ rychlost: 28,9 km/s
Rektascenze radiantu: 04:27 (66,9°)
Deklinace radiantu: 25,1°
MeteorickĂ˝ roj: SevernĂ­ Tauridy
Elementy dráhy meteoroidu:
Vzdálenost v periheliu: 0,393 AU
Excentricita: 0,806
Sklon dráhy: 3,5°
Délka vzestupného uzlu: 238,9°
Argument perihelia: 290,5°
Střední anomálie: 345,2°
Epocha: 2024 NOV 21 01:57:22
orbit plot

NeinteraktivnĂ­ graf | InteraktivnĂ­ graf

position vs time
speed and acceleration