🇳🇴 🇬🇧 🇩🇪 🇨🇿 🇫🇮

Meteor, poloha: Kiruna 2024-11-21 02:33:07 UTC

Soubor KML  |  InteraktivnĂ­ mapa

Mapa zobrazuje dráhy meteoru. Světlejší čáry ukazují směry od pozorovacích stanic při objevení se meteoru a tmavší čáry, kde byl naposledy viděn. Modrá šipka značí viditelnou dráhu meteoru.

static map
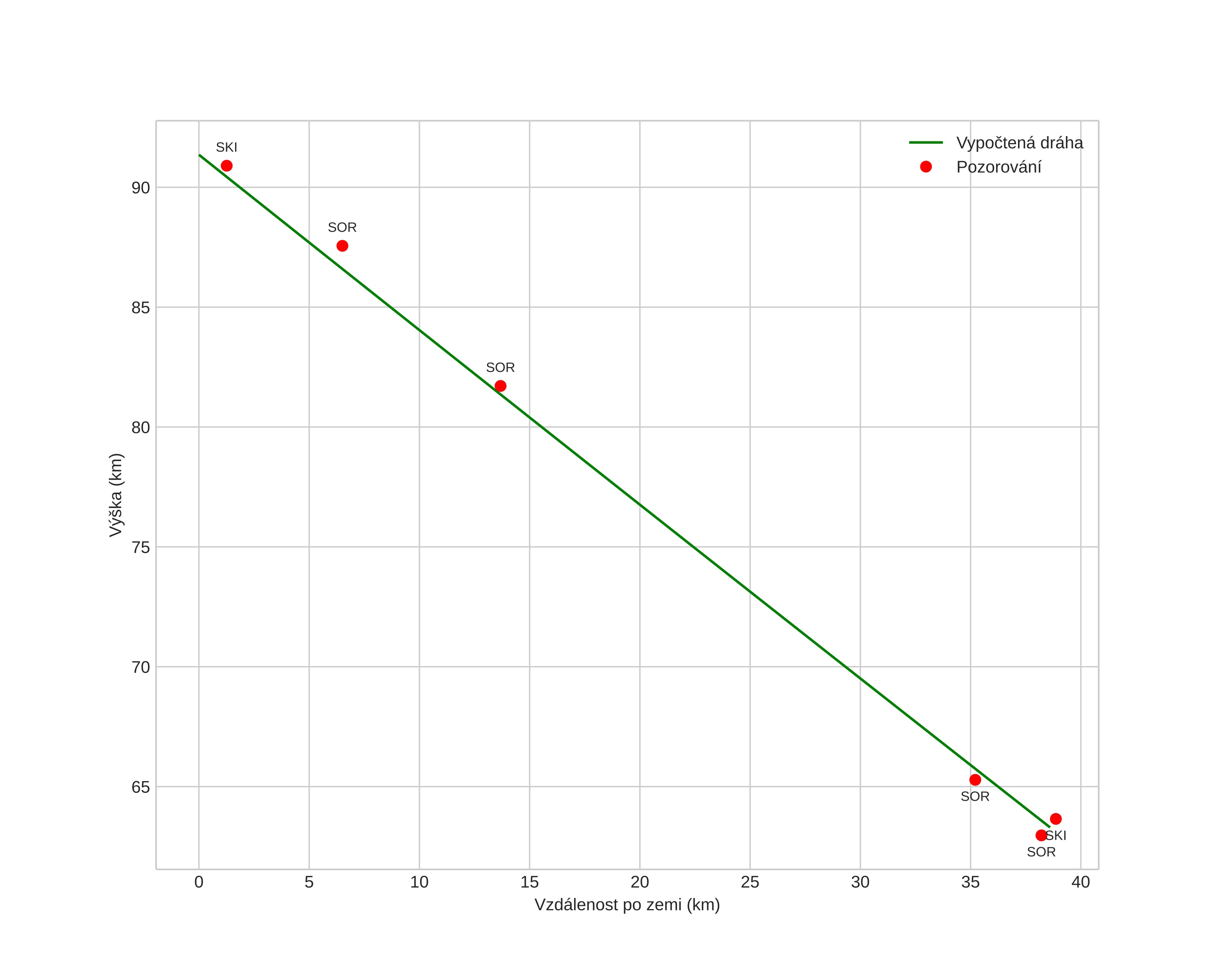
height profile
Atmosférická dráha meteoru:
Počáteční výška: 92,3 km
Konečná výška: 63,1 km
Počáteční poloha: 68,267N 21,307E
Konečná poloha: 67,944N 21,051E
Směr: 196,5°
Sklon: 37,9°
VstupnĂ­ rychlost: 24,7 km/s
Rektascenze radiantu: 18:25 (276,4°)
Deklinace radiantu: 55,3°
MeteorickĂ˝ roj: sporadickĂ˝
Elementy dráhy meteoroidu:
Vzdálenost v periheliu: 0,983 AU
Excentricita: 0,779
Sklon dráhy: 32,8°
Délka vzestupného uzlu: 238,9°
Argument perihelia: 171,6°
Střední anomálie: 0,7°
Epocha: 2024 NOV 21 02:33:07
orbit plot

NeinteraktivnĂ­ graf | InteraktivnĂ­ graf

position vs time
speed and acceleration