🇳🇴 🇬🇧 🇩🇪 🇨🇿 🇫🇮

Meteor, poloha: Farnes 2024-11-21 02:35:49 UTC

Soubor KML  |  InteraktivnĂ­ mapa

Mapa zobrazuje dráhy meteoru. Světlejší čáry ukazují směry od pozorovacích stanic při objevení se meteoru a tmavší čáry, kde byl naposledy viděn. Modrá šipka značí viditelnou dráhu meteoru.

static map
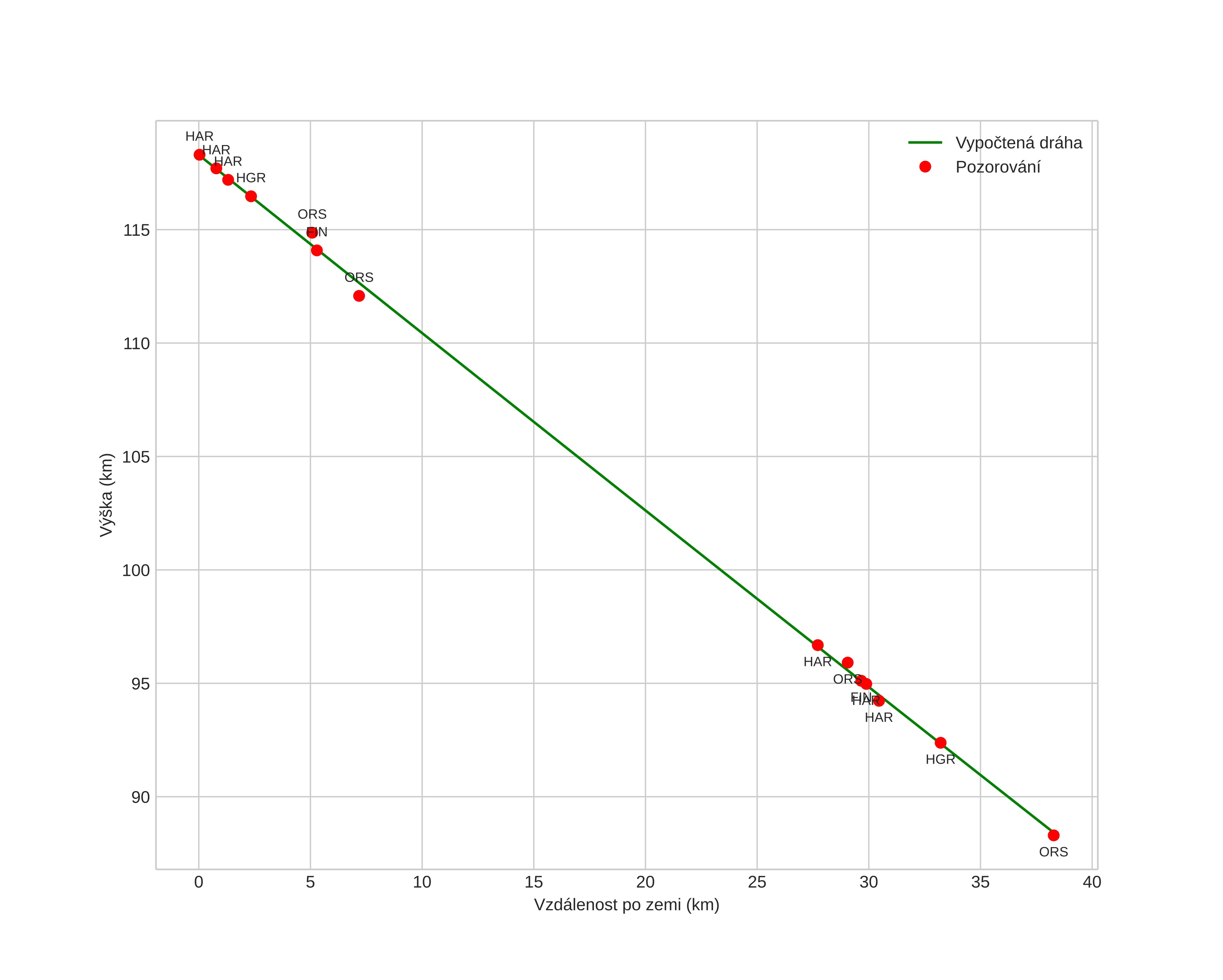
height profile
Atmosférická dráha meteoru:
Počáteční výška: 119,0 km
Konečná výška: 88,4 km
Počáteční poloha: 61,217N 8,744E
Konečná poloha: 61,385N 8,103E
Směr: 298,9°
Sklon: 38,1°
VstupnĂ­ rychlost: 44,3 km/s
Rektascenze radiantu: 10:22 (155,5°)
Deklinace radiantu: 20,3°
MeteorickĂ˝ roj: sporadickĂ˝
Elementy dráhy meteoroidu:
Vzdálenost v periheliu: 0,118 AU
Excentricita: 0,786
Sklon dráhy: 149,7°
Délka vzestupného uzlu: 238,9°
Argument perihelia: 0,5°
Střední anomálie: 177,7°
Epocha: 2024 NOV 21 02:35:49
orbit plot

NeinteraktivnĂ­ graf | InteraktivnĂ­ graf

position vs time
speed and acceleration