🇳🇴 🇬🇧 🇩🇪 🇨🇿 🇫🇮

Meteor, poloha: Siljan 2024-11-21 02:52:48 UTC

Soubor KML  |  InteraktivnĂ­ mapa

Mapa zobrazuje dráhy meteoru. Světlejší čáry ukazují směry od pozorovacích stanic při objevení se meteoru a tmavší čáry, kde byl naposledy viděn. Modrá šipka značí viditelnou dráhu meteoru.

static map
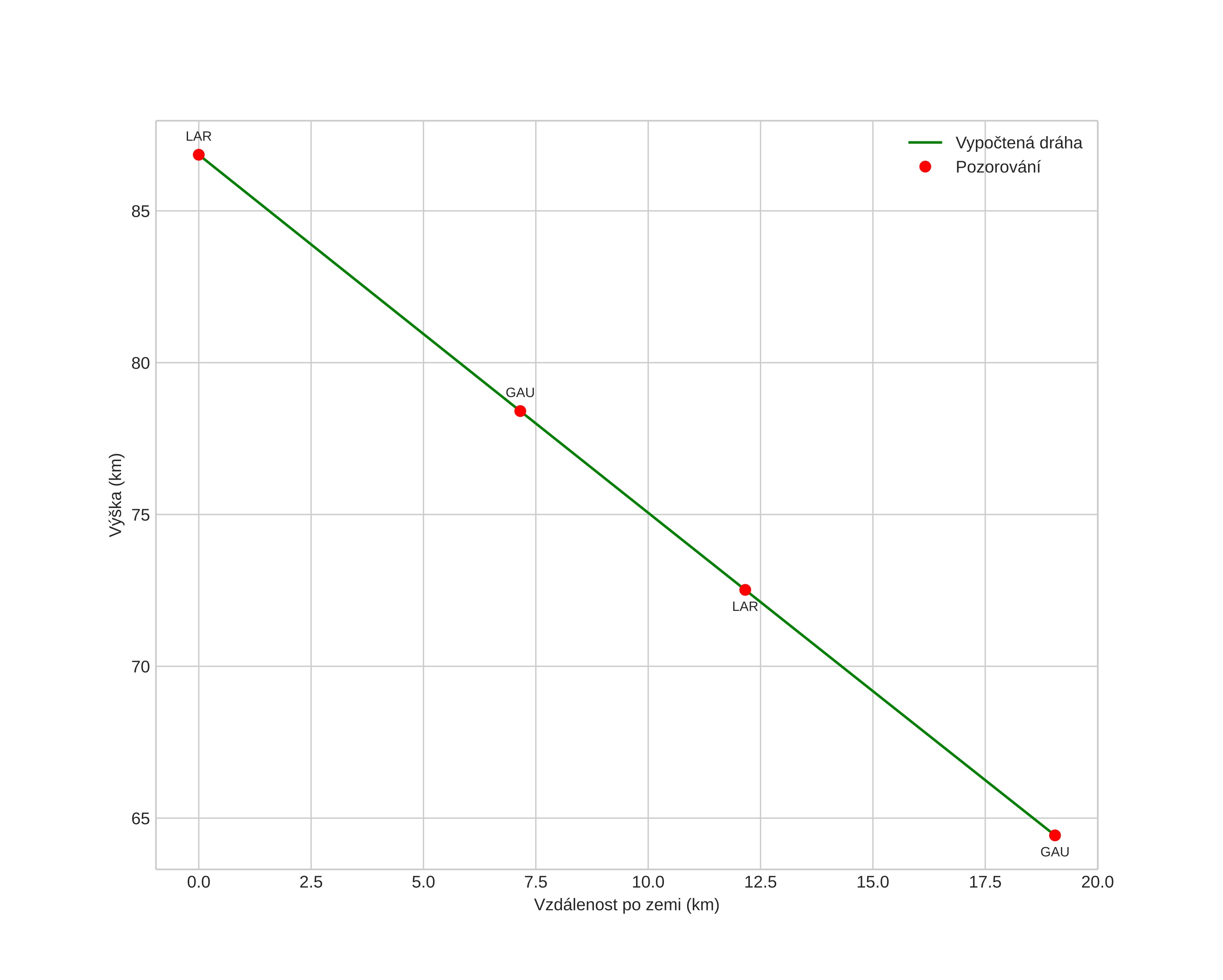
height profile
Atmosférická dráha meteoru:
Počáteční výška: 83,9 km
Konečná výška: 64,1 km
Počáteční poloha: 59,426N 9,586E
Konečná poloha: 59,339N 9,835E
Směr: 124,1°
Sklon: 49,3°
VstupnĂ­ rychlost: 19,0 km/s
Rektascenze radiantu: 01:38 (24,7°)
Deklinace radiantu: 53,3°
MeteorickĂ˝ roj: sporadickĂ˝
Elementy dráhy meteoroidu:
Vzdálenost v periheliu: 0,836 AU
Excentricita: 0,562
Sklon dráhy: 16,7°
Délka vzestupného uzlu: 238,9°
Argument perihelia: 235,1°
Střední anomálie: 345,6°
Epocha: 2024 NOV 21 02:52:48
orbit plot

NeinteraktivnĂ­ graf | InteraktivnĂ­ graf

position vs time
speed and acceleration