🇳🇴 🇬🇧 🇩🇪 🇨🇿 🇫🇮

Meteor, poloha: Harboøre 2024-11-21 04:01:16 UTC

Soubor KML  |  InteraktivnĂ­ mapa

Mapa zobrazuje dráhy meteoru. Světlejší čáry ukazují směry od pozorovacích stanic při objevení se meteoru a tmavší čáry, kde byl naposledy viděn. Modrá šipka značí viditelnou dráhu meteoru.

static map
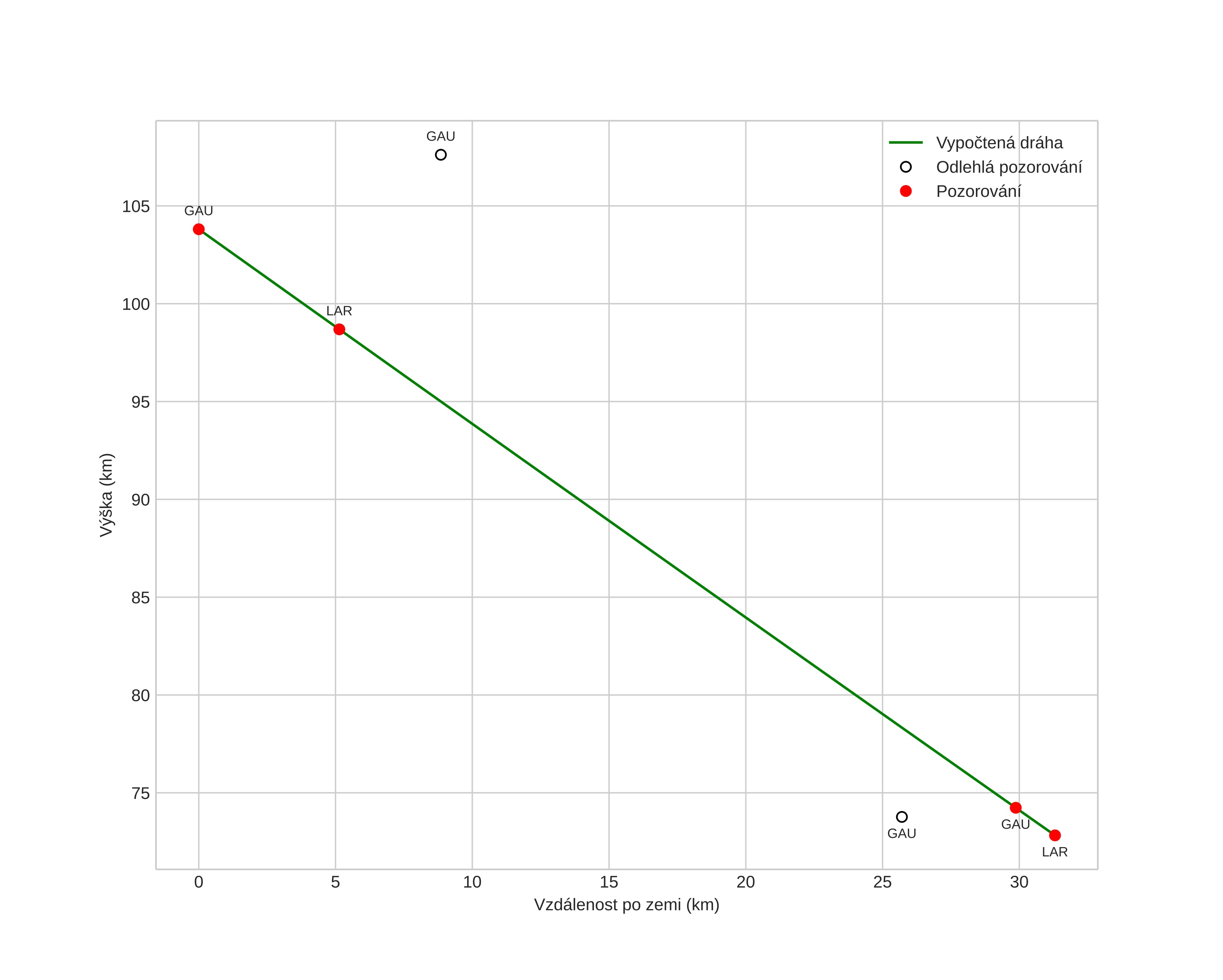
height profile
Atmosférická dráha meteoru:
Počáteční výška: 103,7 km
Konečná výška: 70,0 km
Počáteční poloha: 56,514N 8,672E
Konečná poloha: 56,634N 8,149E
Směr: 292,8°
Sklon: 44,1°
VstupnĂ­ rychlost: 64,4 km/s
Rektascenze radiantu: 11:44 (176,2°)
Deklinace radiantu: 25,1°
MeteorickĂ˝ roj: sporadickĂ˝
Elementy dráhy meteoroidu:
Vzdálenost v periheliu: 0,765 AU
Excentricita: 0,749
Sklon dráhy: 138,5°
Délka vzestupného uzlu: 239,0°
Argument perihelia: 118,2°
Střední anomálie: 7,0°
Epocha: 2024 NOV 21 04:01:16
orbit plot

NeinteraktivnĂ­ graf | InteraktivnĂ­ graf

position vs time
speed and acceleration