🇳🇴 🇬🇧 🇩🇪 🇨🇿 🇫🇮

Meteor, poloha: Risør 2024-11-21 16:26:29 UTC

Soubor KML  |  InteraktivnĂ­ mapa

Mapa zobrazuje dráhy meteoru. Světlejší čáry ukazují směry od pozorovacích stanic při objevení se meteoru a tmavší čáry, kde byl naposledy viděn. Modrá šipka značí viditelnou dráhu meteoru.

static map
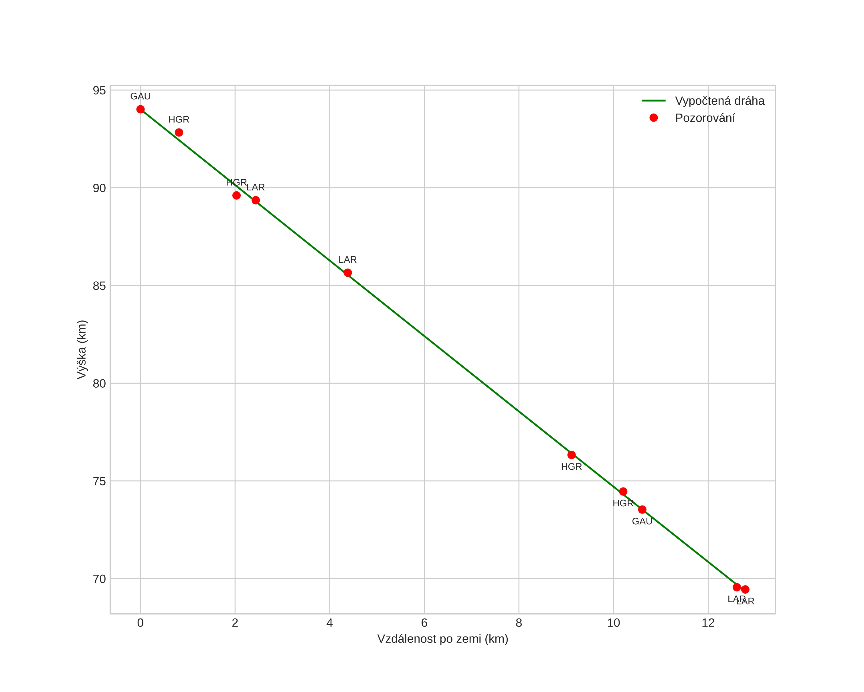
height profile
Atmosférická dráha meteoru:
Počáteční výška: 95,4 km
Konečná výška: 69,6 km
Počáteční poloha: 58,319N 9,444E
Konečná poloha: 58,194N 9,528E
Směr: 160,5°
Sklon: 60,2°
VstupnĂ­ rychlost: 37,5 km/s
Rektascenze radiantu: 16:11 (242,8°)
Deklinace radiantu: 79,5°
MeteorickĂ˝ roj: sporadickĂ˝
Elementy dráhy meteoroidu:
Vzdálenost v periheliu: 0,965 AU
Excentricita: 0,983
Sklon dráhy: 56,3°
Délka vzestupného uzlu: 239,5°
Argument perihelia: 197,4°
Střední anomálie: 360,0°
Epocha: 2024 NOV 21 16:26:29
orbit plot

NeinteraktivnĂ­ graf | InteraktivnĂ­ graf

position vs time
speed and acceleration