🇳🇴 🇬🇧 🇩🇪 🇨🇿 🇫🇮

Meteor, poloha: Skagen 2024-11-21 17:12:22 UTC

Soubor KML  |  InteraktivnĂ­ mapa

Mapa zobrazuje dráhy meteoru. Světlejší čáry ukazují směry od pozorovacích stanic při objevení se meteoru a tmavší čáry, kde byl naposledy viděn. Modrá šipka značí viditelnou dráhu meteoru.

static map
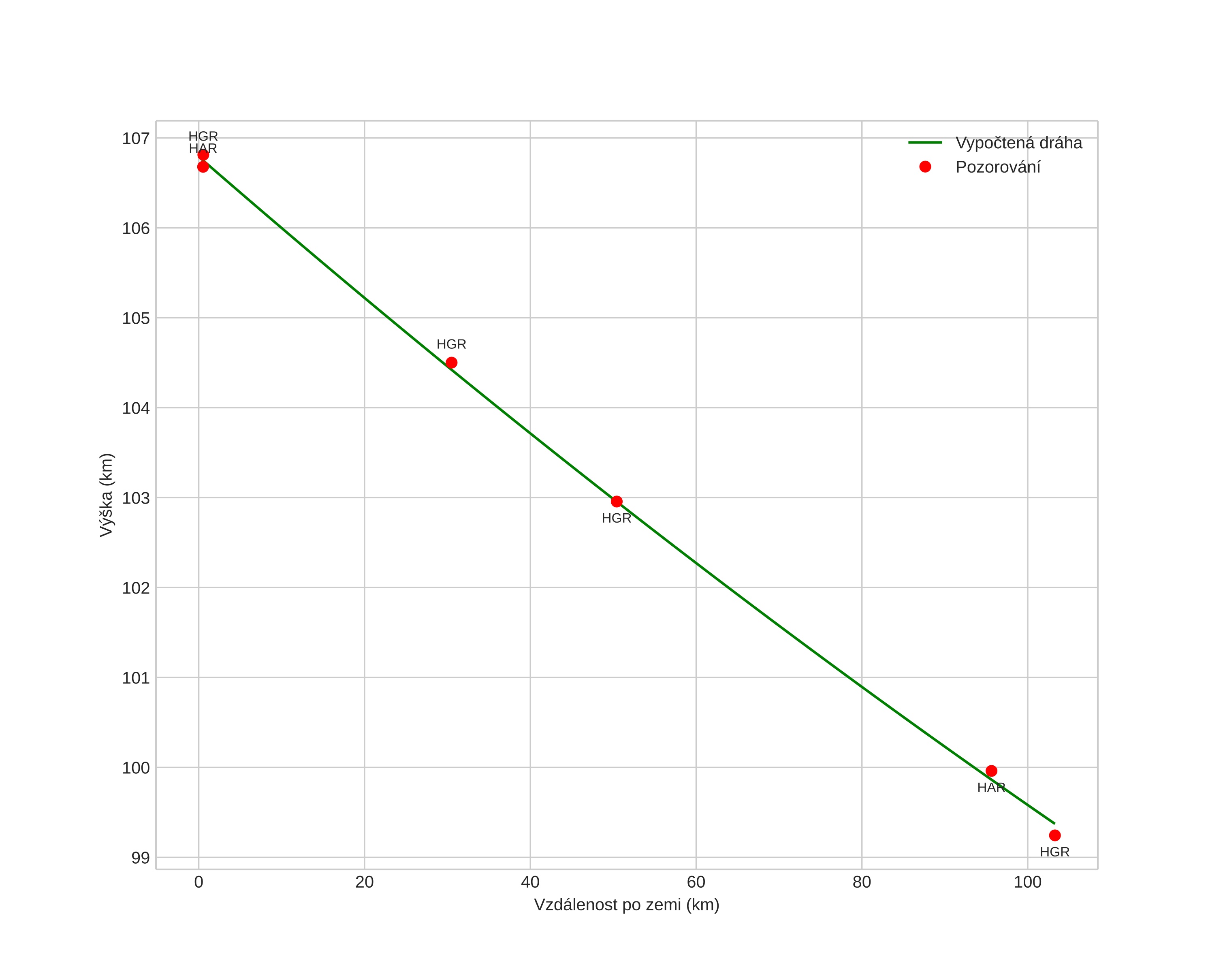
height profile
Atmosférická dráha meteoru:
Počáteční výška: 109,5 km
Konečná výška: 98,3 km
Počáteční poloha: 58,434N 10,585E
Konečná poloha: 58,040N 10,410E
Směr: 193,3°
Sklon: 14,0°
VstupnĂ­ rychlost: 73,0 km/s
Rektascenze radiantu: 08:46 (131,6°)
Deklinace radiantu: 44,1°
MeteorickĂ˝ roj: sporadickĂ˝
Elementy dráhy meteoroidu:
Vzdálenost v periheliu: 0,700 AU
Excentricita: 1,669
Sklon dráhy: 132,1°
Délka vzestupného uzlu: 239,5°
Argument perihelia: 237,7°
Střední anomálie: -24,7°
Epocha: 2024 NOV 21 17:12:22
orbit plot

NeinteraktivnĂ­ graf | InteraktivnĂ­ graf

position vs time
speed and acceleration