🇳🇴 🇬🇧 🇩🇪 🇨🇿 🇫🇮

Meteor, poloha: Kyrkjebygda 2024-11-21 20:01:22 UTC

Soubor KML  |  InteraktivnĂ­ mapa

Mapa zobrazuje dráhy meteoru. Světlejší čáry ukazují směry od pozorovacích stanic při objevení se meteoru a tmavší čáry, kde byl naposledy viděn. Modrá šipka značí viditelnou dráhu meteoru.

static map
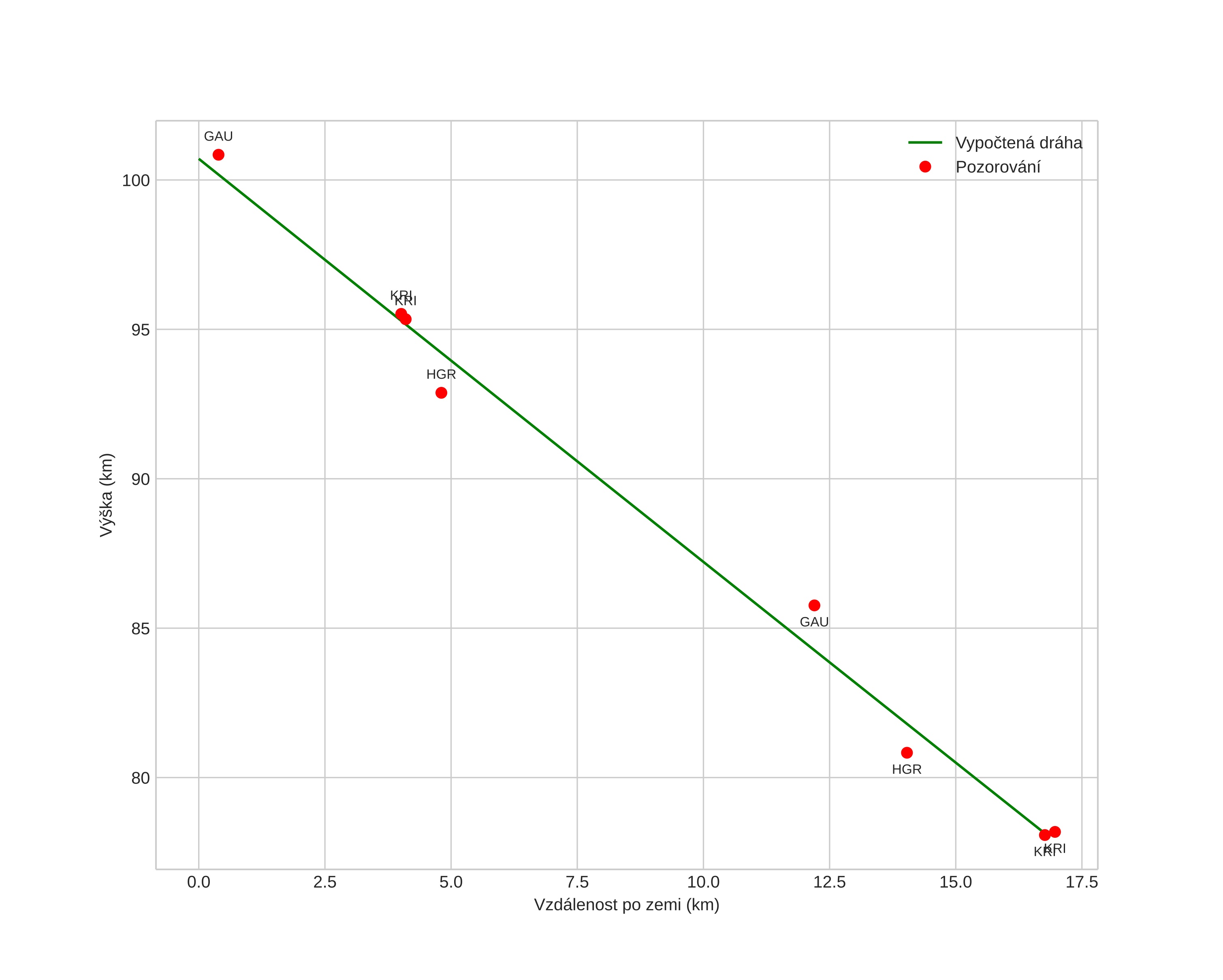
height profile
Atmosférická dráha meteoru:
Počáteční výška: 100,4 km
Konečná výška: 77,2 km
Počáteční poloha: 58,927N 7,071E
Konečná poloha: 58,770N 7,085E
Směr: 177,4°
Sklon: 53,1°
VstupnĂ­ rychlost: 33,1 km/s
Rektascenze radiantu: 13:41 (205,3°)
Deklinace radiantu: 83,0°
MeteorickĂ˝ roj: sporadickĂ˝
Elementy dráhy meteoroidu:
Vzdálenost v periheliu: 0,925 AU
Excentricita: 0,562
Sklon dráhy: 53,2°
Délka vzestupného uzlu: 239,7°
Argument perihelia: 214,6°
Střední anomálie: 351,6°
Epocha: 2024 NOV 21 20:01:22
orbit plot

NeinteraktivnĂ­ graf | InteraktivnĂ­ graf

position vs time
speed and acceleration