🇳🇴 🇬🇧 🇩🇪 🇨🇿 🇫🇮

Meteor, poloha: Måløy 2024-11-22 00:14:13 UTC

Soubor KML  |  InteraktivnĂ­ mapa

Mapa zobrazuje dráhy meteoru. Světlejší čáry ukazují směry od pozorovacích stanic při objevení se meteoru a tmavší čáry, kde byl naposledy viděn. Modrá šipka značí viditelnou dráhu meteoru.

static map
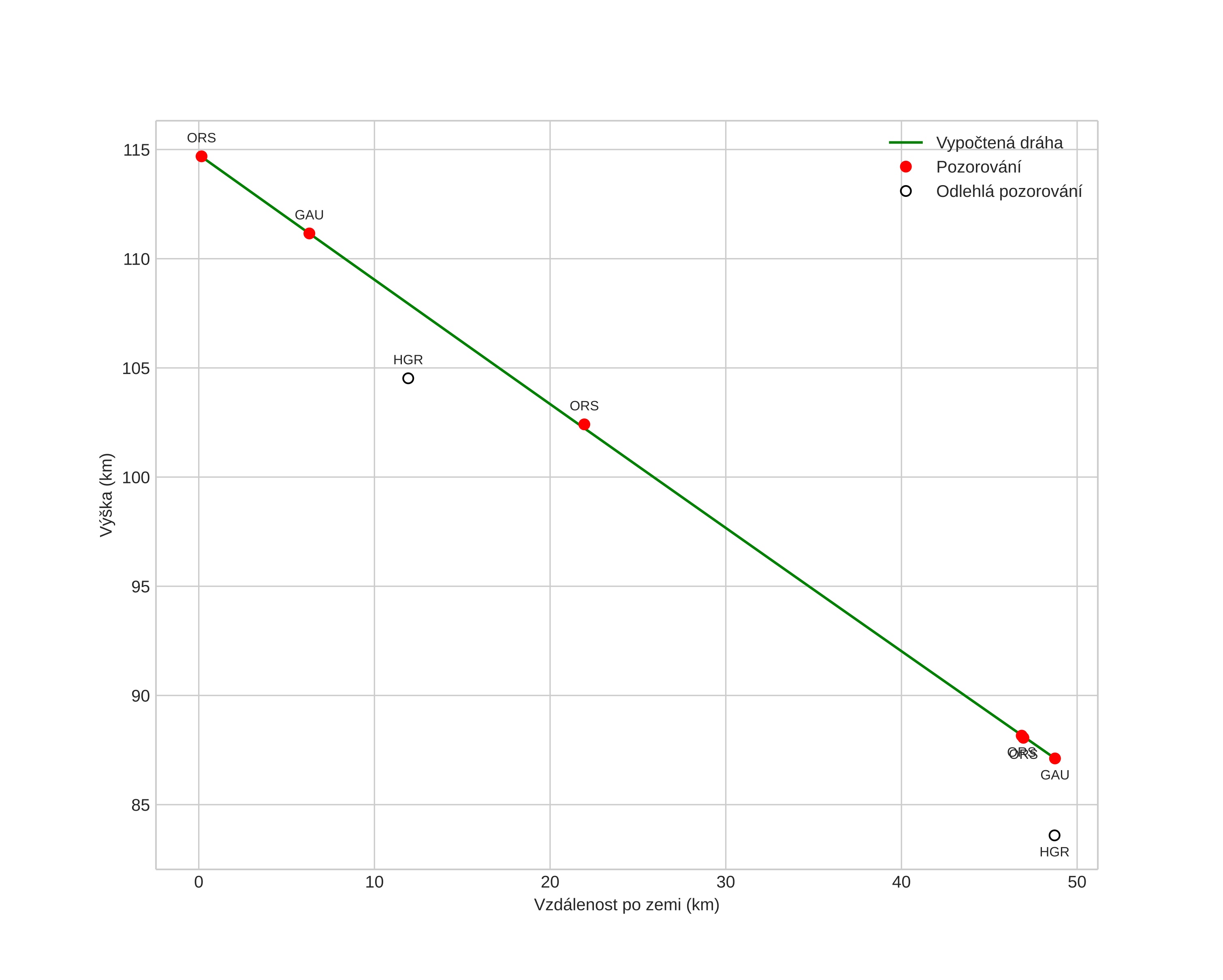
height profile
Atmosférická dráha meteoru:
Počáteční výška: 108,6 km
Konečná výška: 83,7 km
Počáteční poloha: 62,327N 4,805E
Konečná poloha: 62,020N 4,076E
Směr: 228,3°
Sklon: 26,0°
VstupnĂ­ rychlost: 56,0 km/s
Rektascenze radiantu: 12:23 (185,9°)
Deklinace radiantu: 41,4°
MeteorickĂ˝ roj: sporadickĂ˝
Elementy dráhy meteoroidu:
Vzdálenost v periheliu: 0,882 AU
Excentricita: 0,655
Sklon dráhy: 106,7°
Délka vzestupného uzlu: 239,8°
Argument perihelia: 136,8°
Střední anomálie: 7,3°
Epocha: 2024 NOV 22 00:14:13
orbit plot

NeinteraktivnĂ­ graf | InteraktivnĂ­ graf

position vs time
speed and acceleration