🇳🇴 🇬🇧 🇩🇪 🇨🇿 🇫🇮

Meteor, poloha: Ă…mot 2024-11-22 00:45:54 UTC

Soubor KML  |  InteraktivnĂ­ mapa

Mapa zobrazuje dráhy meteoru. Světlejší čáry ukazují směry od pozorovacích stanic při objevení se meteoru a tmavší čáry, kde byl naposledy viděn. Modrá šipka značí viditelnou dráhu meteoru.

static map
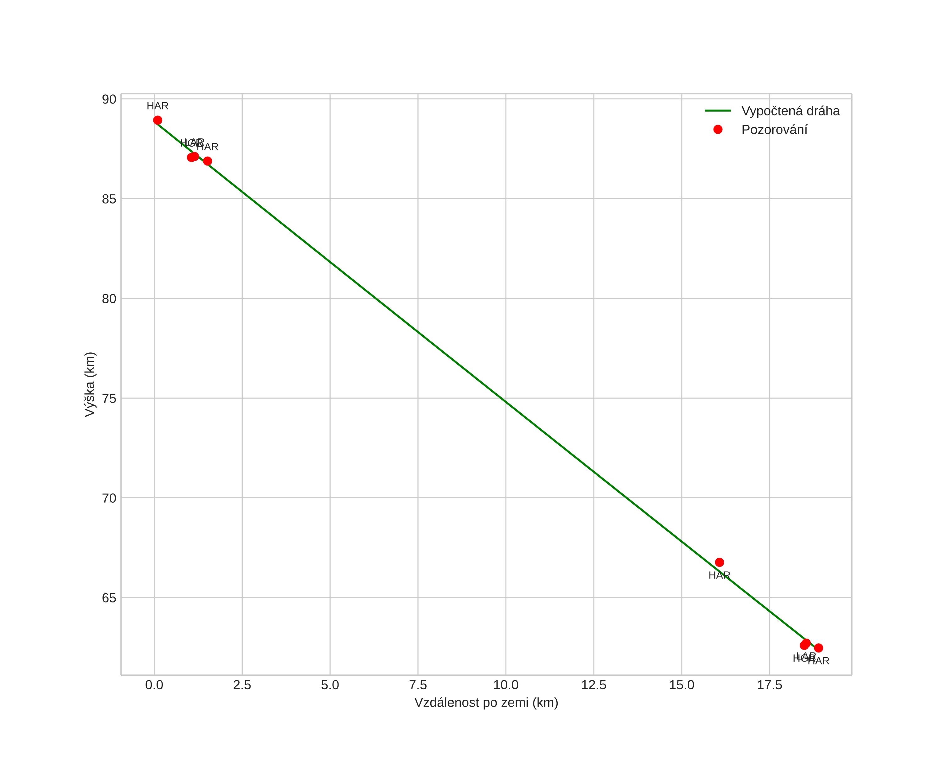
height profile
Atmosférická dráha meteoru:
Počáteční výška: 94,6 km
Konečná výška: 60,7 km
Počáteční poloha: 59,843N 7,933E
Konečná poloha: 60,044N 8,092E
Směr: 21,5°
Sklon: 54,7°
VstupnĂ­ rychlost: 28,7 km/s
Rektascenze radiantu: 04:24 (66,0°)
Deklinace radiantu: 24,2°
MeteorickĂ˝ roj: SevernĂ­ Tauridy
Elementy dráhy meteoroidu:
Vzdálenost v periheliu: 0,420 AU
Excentricita: 0,812
Sklon dráhy: 2,6°
Délka vzestupného uzlu: 239,8°
Argument perihelia: 286,5°
Střední anomálie: 347,2°
Epocha: 2024 NOV 22 00:45:54
orbit plot

NeinteraktivnĂ­ graf | InteraktivnĂ­ graf

position vs time
speed and acceleration