🇳🇴 🇬🇧 🇩🇪 🇨🇿 🇫🇮

Meteor, poloha: Flisa 2024-11-22 01:23:40 UTC

Soubor KML  |  InteraktivnĂ­ mapa

Mapa zobrazuje dráhy meteoru. Světlejší čáry ukazují směry od pozorovacích stanic při objevení se meteoru a tmavší čáry, kde byl naposledy viděn. Modrá šipka značí viditelnou dráhu meteoru.

static map
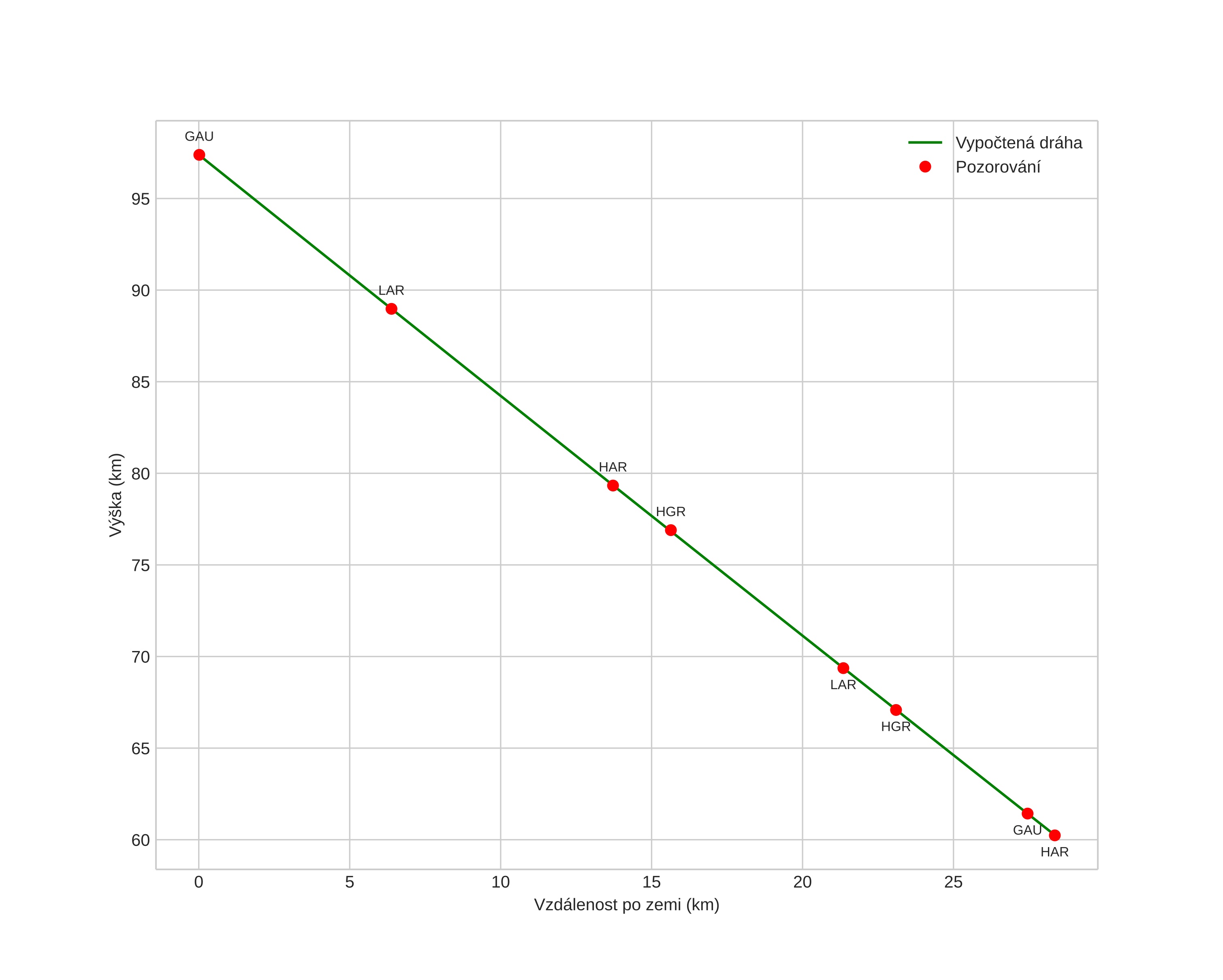
height profile
Atmosférická dráha meteoru:
Počáteční výška: 98,2 km
Konečná výška: 60,9 km
Počáteční poloha: 60,431N 11,703E
Konečná poloha: 60,630N 12,050E
Směr: 40,5°
Sklon: 52,1°
VstupnĂ­ rychlost: 29,9 km/s
Rektascenze radiantu: 04:24 (66,0°)
Deklinace radiantu: 25,5°
MeteorickĂ˝ roj: SevernĂ­ Tauridy
Elementy dráhy meteoroidu:
Vzdálenost v periheliu: 0,405 AU
Excentricita: 0,844
Sklon dráhy: 4,1°
Délka vzestupného uzlu: 239,8°
Argument perihelia: 286,8°
Střední anomálie: 350,1°
Epocha: 2024 NOV 22 01:23:40
orbit plot

NeinteraktivnĂ­ graf | InteraktivnĂ­ graf

position vs time
speed and acceleration