🇳🇴 🇬🇧 🇩🇪 🇨🇿 🇫🇮

Meteor, poloha: Hurdal 2024-11-22 02:00:42 UTC

Soubor KML  |  InteraktivnĂ­ mapa

Mapa zobrazuje dráhy meteoru. Světlejší čáry ukazují směry od pozorovacích stanic při objevení se meteoru a tmavší čáry, kde byl naposledy viděn. Modrá šipka značí viditelnou dráhu meteoru.

static map
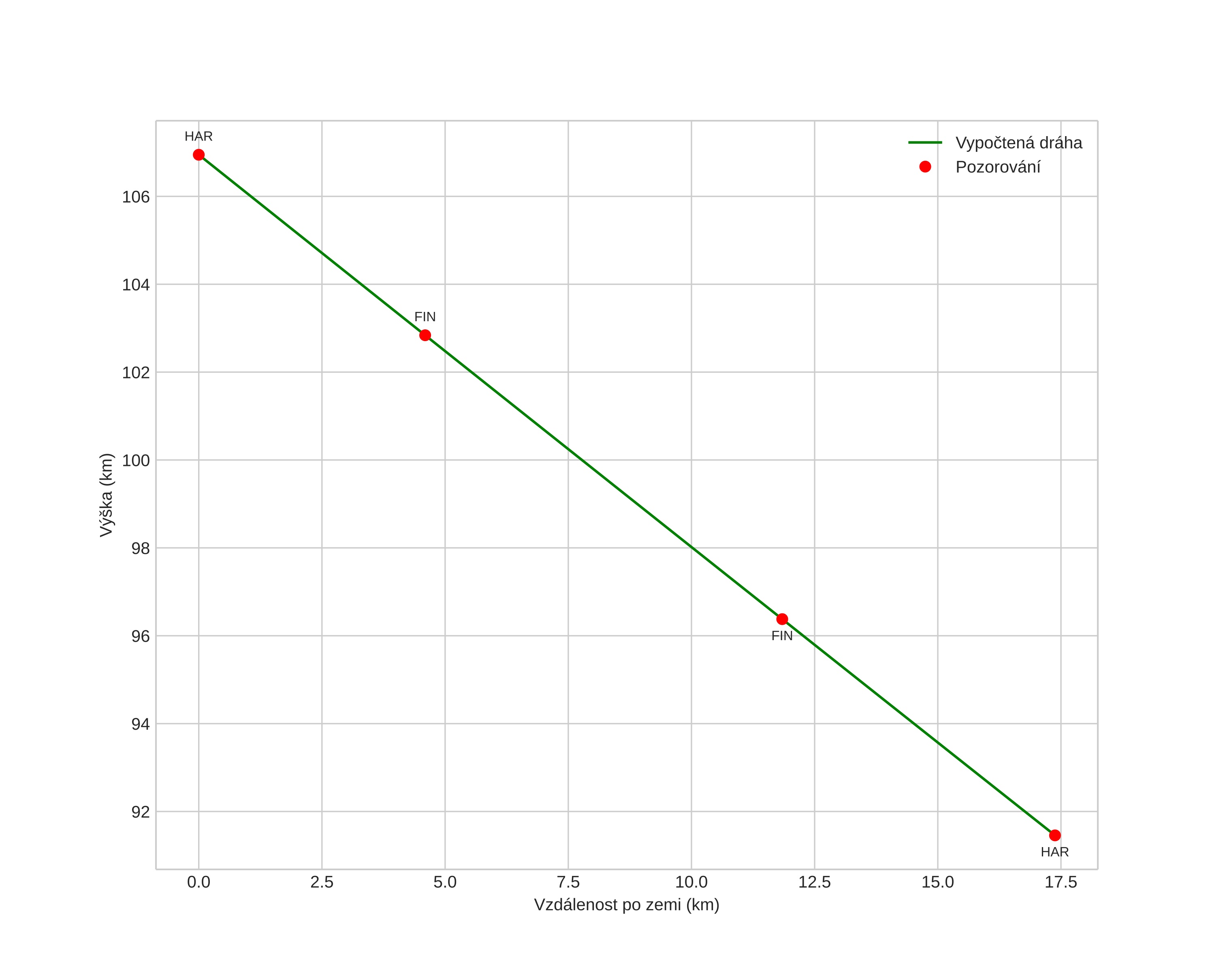
height profile
Atmosférická dráha meteoru:
Počáteční výška: 106,8 km
Konečná výška: 91,6 km
Počáteční poloha: 60,506N 11,404E
Konečná poloha: 60,417N 11,145E
Směr: 235,4°
Sklon: 41,3°
VstupnĂ­ rychlost: 48,4 km/s
Rektascenze radiantu: 13:10 (197,7°)
Deklinace radiantu: 51,4°
MeteorickĂ˝ roj: sporadickĂ˝
Elementy dráhy meteoroidu:
Vzdálenost v periheliu: 0,931 AU
Excentricita: 0,648
Sklon dráhy: 85,7°
Délka vzestupného uzlu: 239,9°
Argument perihelia: 148,8°
Střední anomálie: 5,3°
Epocha: 2024 NOV 22 02:00:42
orbit plot

NeinteraktivnĂ­ graf | InteraktivnĂ­ graf

position vs time
speed and acceleration