🇳🇴 🇬🇧 🇩🇪 🇨🇿 🇫🇮

Meteor, poloha: Eidsvoll 2024-11-22 02:00:43 UTC

Soubor KML  |  InteraktivnĂ­ mapa

Mapa zobrazuje dráhy meteoru. Světlejší čáry ukazují směry od pozorovacích stanic při objevení se meteoru a tmavší čáry, kde byl naposledy viděn. Modrá šipka značí viditelnou dráhu meteoru.

static map
height profile
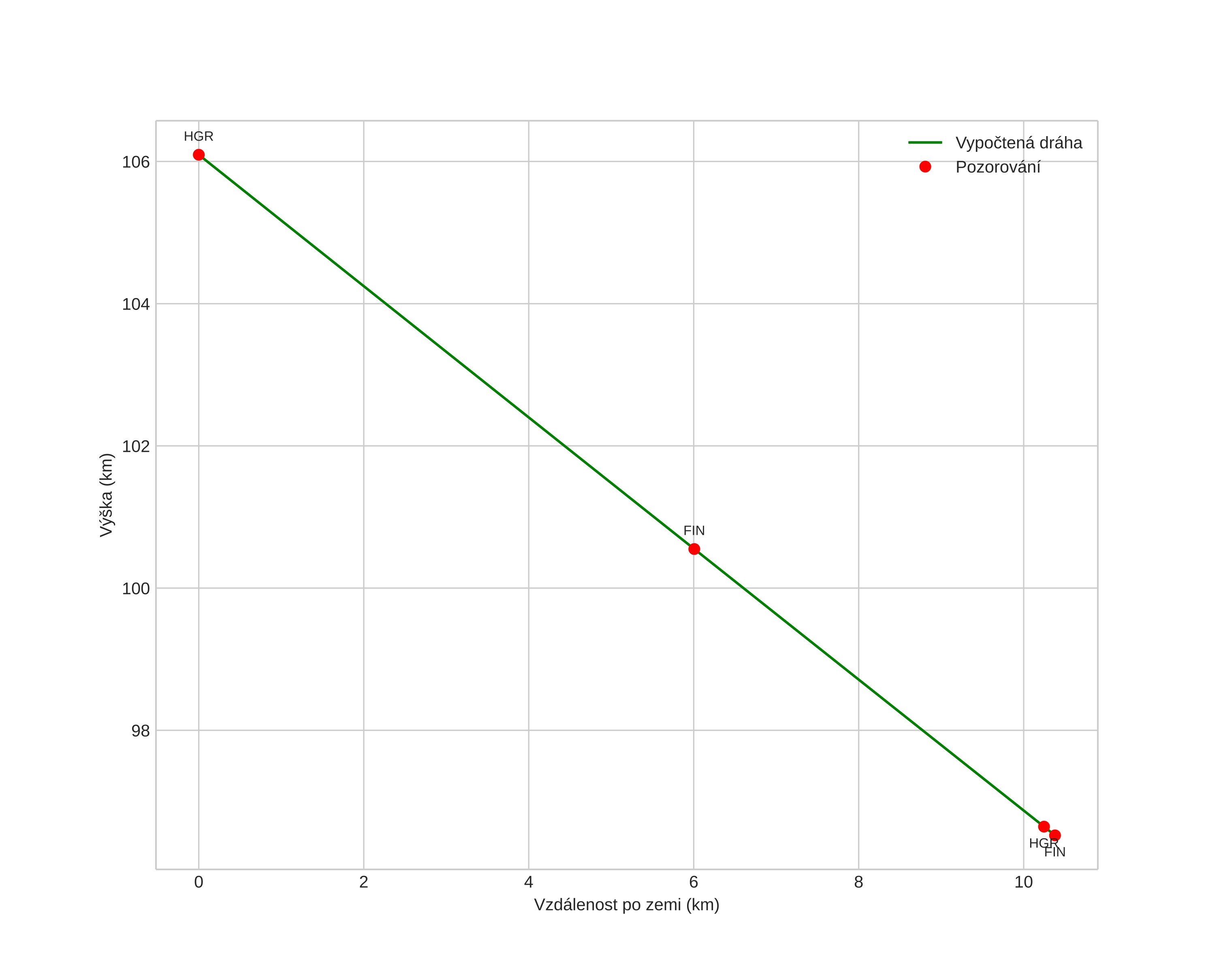
Atmosférická dráha meteoru:
Počáteční výška: 106,1 km
Konečná výška: 96,5 km
Počáteční poloha: 60,499N 11,382E
Konečná poloha: 60,446N 11,227E
Směr: 235,3°
Sklon: 42,7°
VstupnĂ­ rychlost: 55,3 km/s
Rektascenze radiantu: 13:03 (196,0°)
Deklinace radiantu: 52,7°
MeteorickĂ˝ roj: sporadickĂ˝
Elementy dráhy meteoroidu:
Vzdálenost v periheliu: 0,958 AU
Excentricita: 1,130
Sklon dráhy: 92,0°
Délka vzestupného uzlu: 239,9°
Argument perihelia: 160,6°
Střední anomálie: 0,6°
Epocha: 2024 NOV 22 02:00:43
orbit plot

NeinteraktivnĂ­ graf | InteraktivnĂ­ graf

position vs time
speed and acceleration