🇳🇴 🇬🇧 🇩🇪 🇨🇿 🇫🇮

Meteor, poloha: Grua 2024-11-22 02:05:39 UTC

Soubor KML  |  InteraktivnĂ­ mapa

Mapa zobrazuje dráhy meteoru. Světlejší čáry ukazují směry od pozorovacích stanic při objevení se meteoru a tmavší čáry, kde byl naposledy viděn. Modrá šipka značí viditelnou dráhu meteoru.

static map
height profile
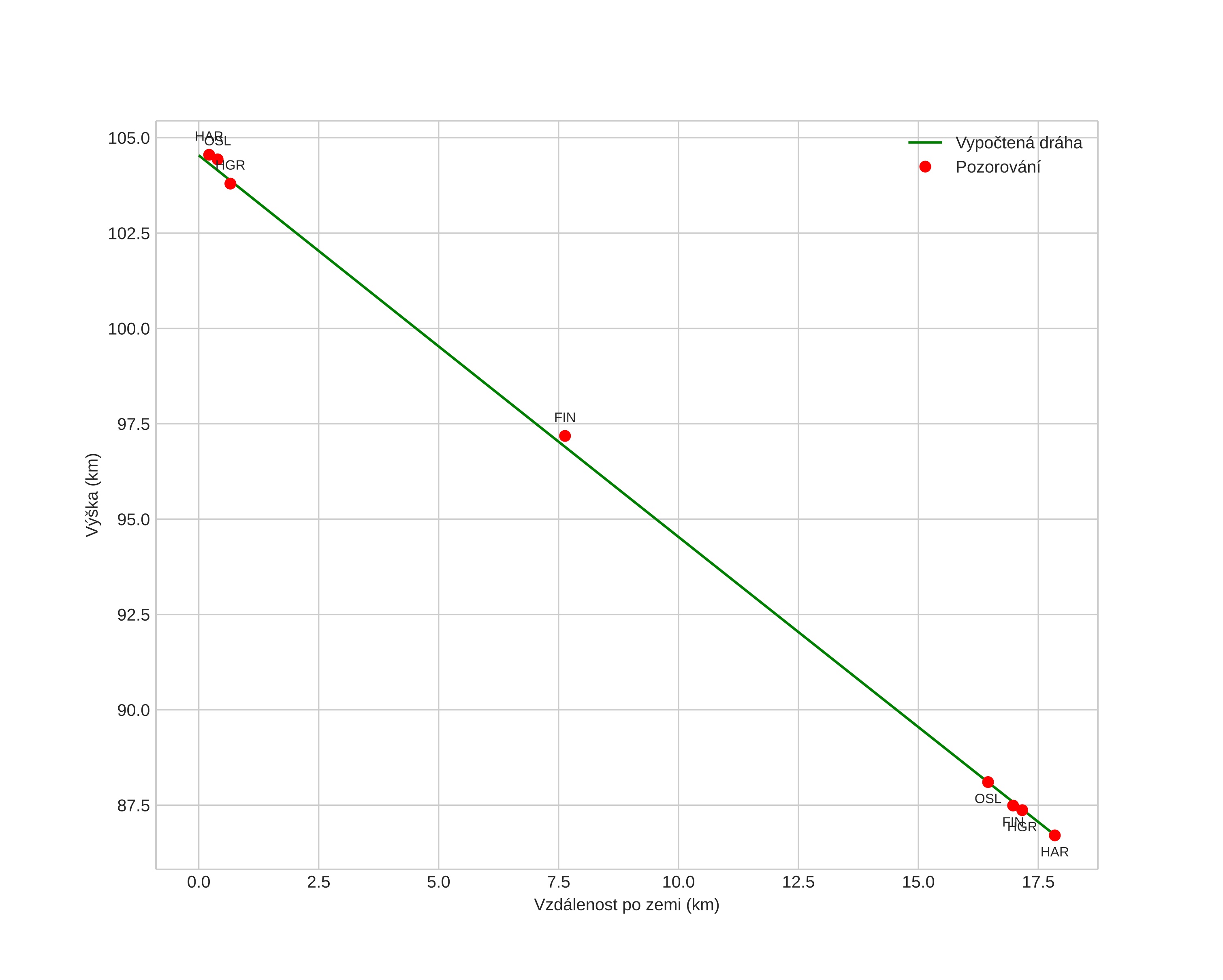
Atmosférická dráha meteoru:
Počáteční výška: 104,6 km
Konečná výška: 85,9 km
Počáteční poloha: 60,247N 10,636E
Konečná poloha: 60,400N 10,772E
Směr: 23,7°
Sklon: 45,2°
VstupnĂ­ rychlost: 48,8 km/s
Rektascenze radiantu: 05:42 (85,6°)
Deklinace radiantu: 16,5°
MeteorickĂ˝ roj: sporadickĂ˝
Elementy dráhy meteoroidu:
Vzdálenost v periheliu: 0,068 AU
Excentricita: 1,013
Sklon dráhy: 30,8°
Délka vzestupného uzlu: 59,9°
Argument perihelia: 148,2°
Střední anomálie: -2,2°
Epocha: 2024 NOV 22 02:05:39
orbit plot

NeinteraktivnĂ­ graf | InteraktivnĂ­ graf

position vs time
speed and acceleration