🇳🇴 🇬🇧 🇩🇪 🇨🇿 🇫🇮

Meteor, poloha: Larvik 2024-11-22 02:20:00 UTC

Soubor KML  |  InteraktivnĂ­ mapa

Mapa zobrazuje dráhy meteoru. Světlejší čáry ukazují směry od pozorovacích stanic při objevení se meteoru a tmavší čáry, kde byl naposledy viděn. Modrá šipka značí viditelnou dráhu meteoru.

static map
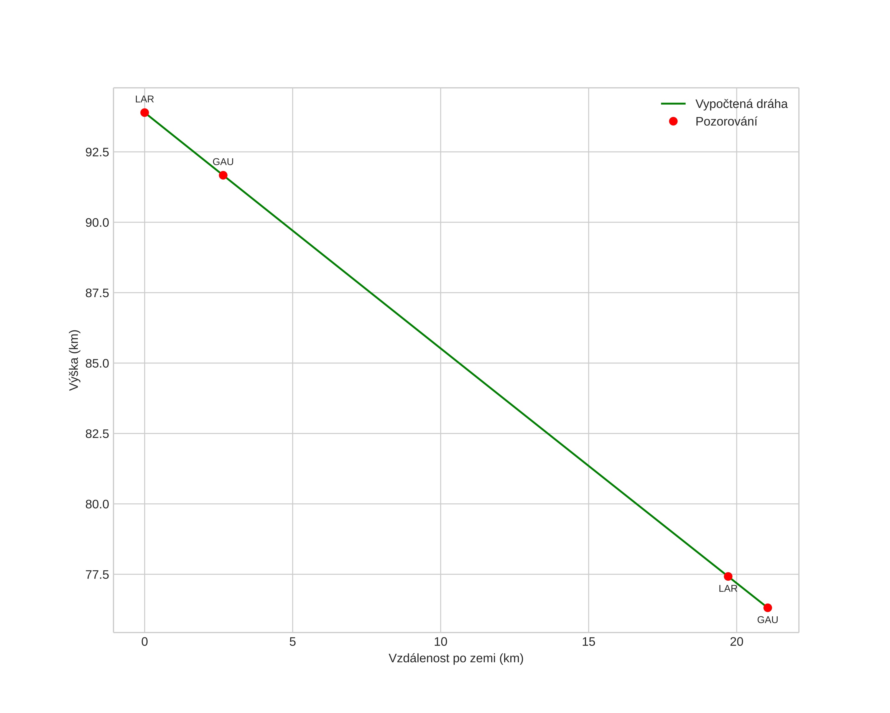
height profile
Atmosférická dráha meteoru:
Počáteční výška: 93,3 km
Konečná výška: 76,3 km
Počáteční poloha: 59,024N 9,589E
Konečná poloha: 59,138N 9,882E
Směr: 52,7°
Sklon: 39,0°
VstupnĂ­ rychlost: 25,2 km/s
Rektascenze radiantu: 04:14 (63,7°)
Deklinace radiantu: 14,5°
MeteorickĂ˝ roj: sporadickĂ˝
Elementy dráhy meteoroidu:
Vzdálenost v periheliu: 0,516 AU
Excentricita: 0,734
Sklon dráhy: 5,3°
Délka vzestupného uzlu: 60,0°
Argument perihelia: 97,4°
Střední anomálie: 343,2°
Epocha: 2024 NOV 22 02:20:00
orbit plot

NeinteraktivnĂ­ graf | InteraktivnĂ­ graf

position vs time
speed and acceleration