🇳🇴 🇬🇧 🇩🇪 🇨🇿 🇫🇮

Meteor, poloha: Vikersund 2024-11-22 02:21:30 UTC

Soubor KML  |  InteraktivnĂ­ mapa

Mapa zobrazuje dráhy meteoru. Světlejší čáry ukazují směry od pozorovacích stanic při objevení se meteoru a tmavší čáry, kde byl naposledy viděn. Modrá šipka značí viditelnou dráhu meteoru.

static map
height profile
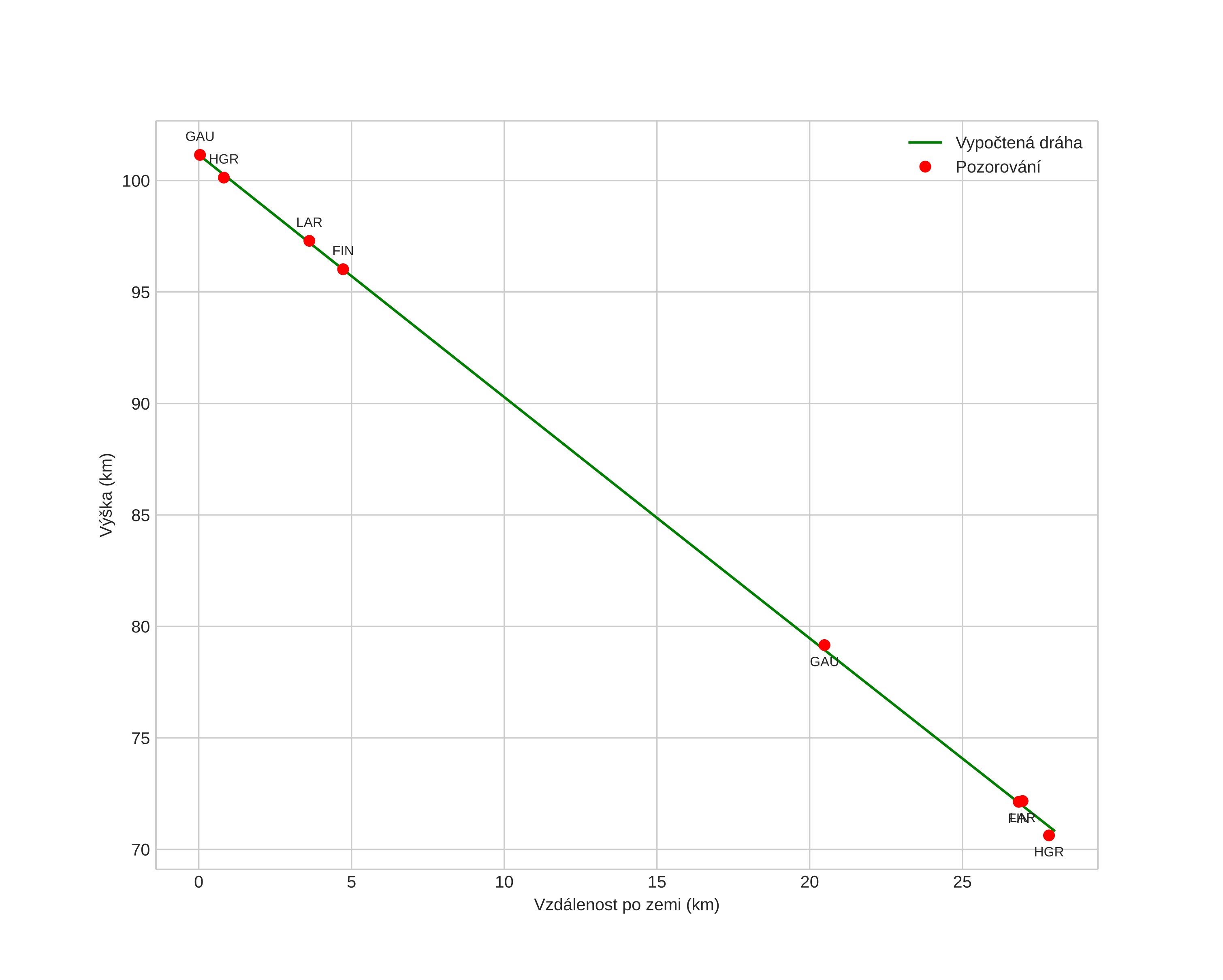
Atmosférická dráha meteoru:
Počáteční výška: 101,9 km
Konečná výška: 70,9 km
Počáteční poloha: 59,899N 9,546E
Konečná poloha: 60,052N 9,964E
Směr: 53,6°
Sklon: 47,1°
VstupnĂ­ rychlost: 29,3 km/s
Rektascenze radiantu: 04:29 (67,5°)
Deklinace radiantu: 23,7°
MeteorickĂ˝ roj: SevernĂ­ Tauridy
Elementy dráhy meteoroidu:
Vzdálenost v periheliu: 0,397 AU
Excentricita: 0,822
Sklon dráhy: 2,0°
Délka vzestupného uzlu: 239,8°
Argument perihelia: 289,0°
Střední anomálie: 347,3°
Epocha: 2024 NOV 22 02:21:30
orbit plot

NeinteraktivnĂ­ graf | InteraktivnĂ­ graf

position vs time
speed and acceleration