🇳🇴 🇬🇧 🇩🇪 🇨🇿 🇫🇮

Meteor, poloha: Rødberg 2024-11-22 03:52:57 UTC

Soubor KML  |  InteraktivnĂ­ mapa

Mapa zobrazuje dráhy meteoru. Světlejší čáry ukazují směry od pozorovacích stanic při objevení se meteoru a tmavší čáry, kde byl naposledy viděn. Modrá šipka značí viditelnou dráhu meteoru.

static map
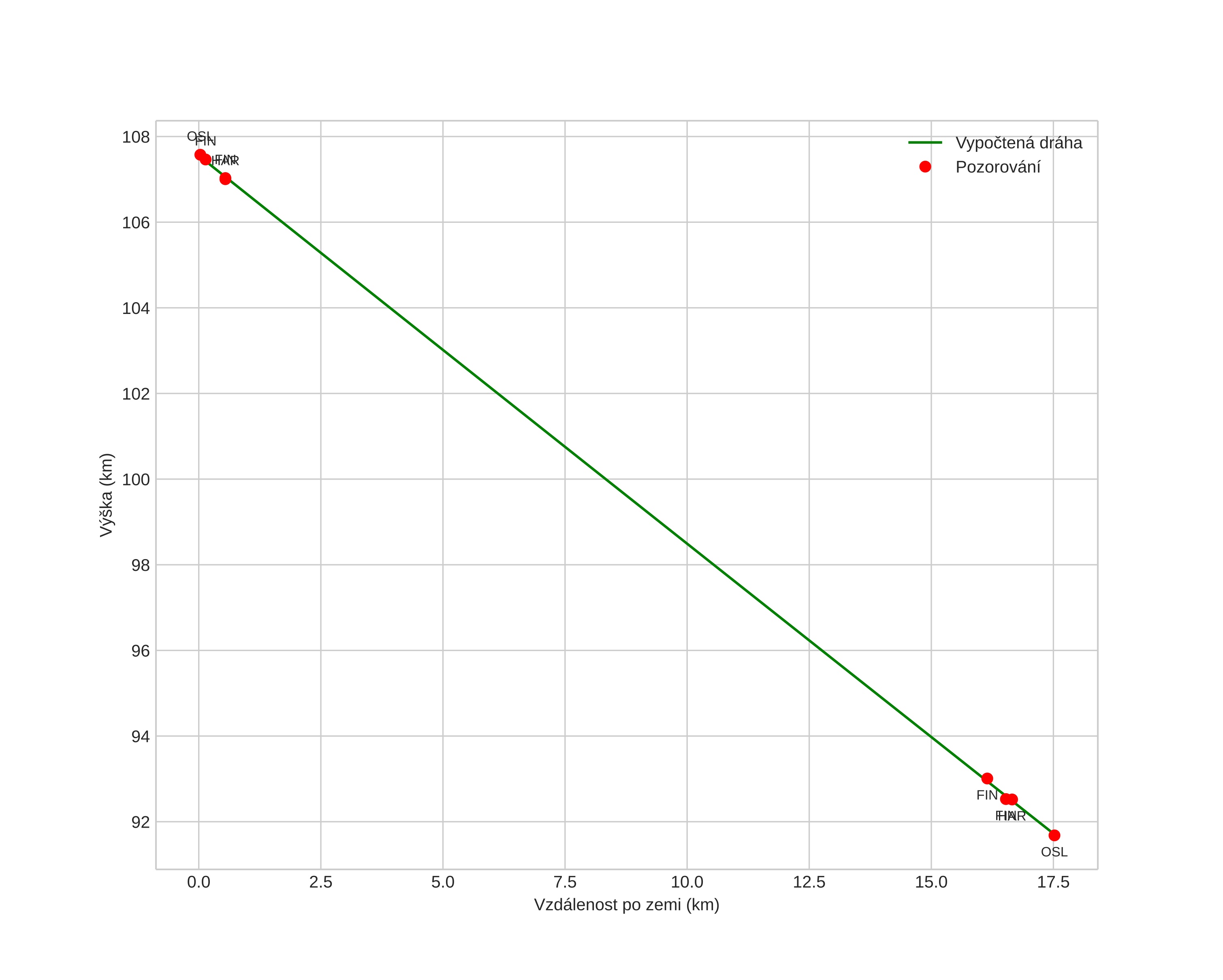
height profile
Atmosférická dráha meteoru:
Počáteční výška: 110,2 km
Konečná výška: 91,3 km
Počáteční poloha: 60,155N 8,714E
Konečná poloha: 60,346N 8,707E
Směr: 358,9°
Sklon: 41,7°
VstupnĂ­ rychlost: 64,1 km/s
Rektascenze radiantu: 08:35 (128,8°)
Deklinace radiantu: 11,5°
MeteorickĂ˝ roj: sporadickĂ˝
Elementy dráhy meteoroidu:
Vzdálenost v periheliu: 0,525 AU
Excentricita: 0,764
Sklon dráhy: 164,7°
Délka vzestupného uzlu: 60,0°
Argument perihelia: 94,7°
Střední anomálie: 346,7°
Epocha: 2024 NOV 22 03:52:57
orbit plot

NeinteraktivnĂ­ graf | InteraktivnĂ­ graf

position vs time
speed and acceleration