🇳🇴 🇬🇧 🇩🇪 🇨🇿 🇫🇮

Meteor, poloha: Vik 2024-11-22 03:54:20 UTC

Soubor KML  |  InteraktivnĂ­ mapa

Mapa zobrazuje dráhy meteoru. Světlejší čáry ukazují směry od pozorovacích stanic při objevení se meteoru a tmavší čáry, kde byl naposledy viděn. Modrá šipka značí viditelnou dráhu meteoru.

static map
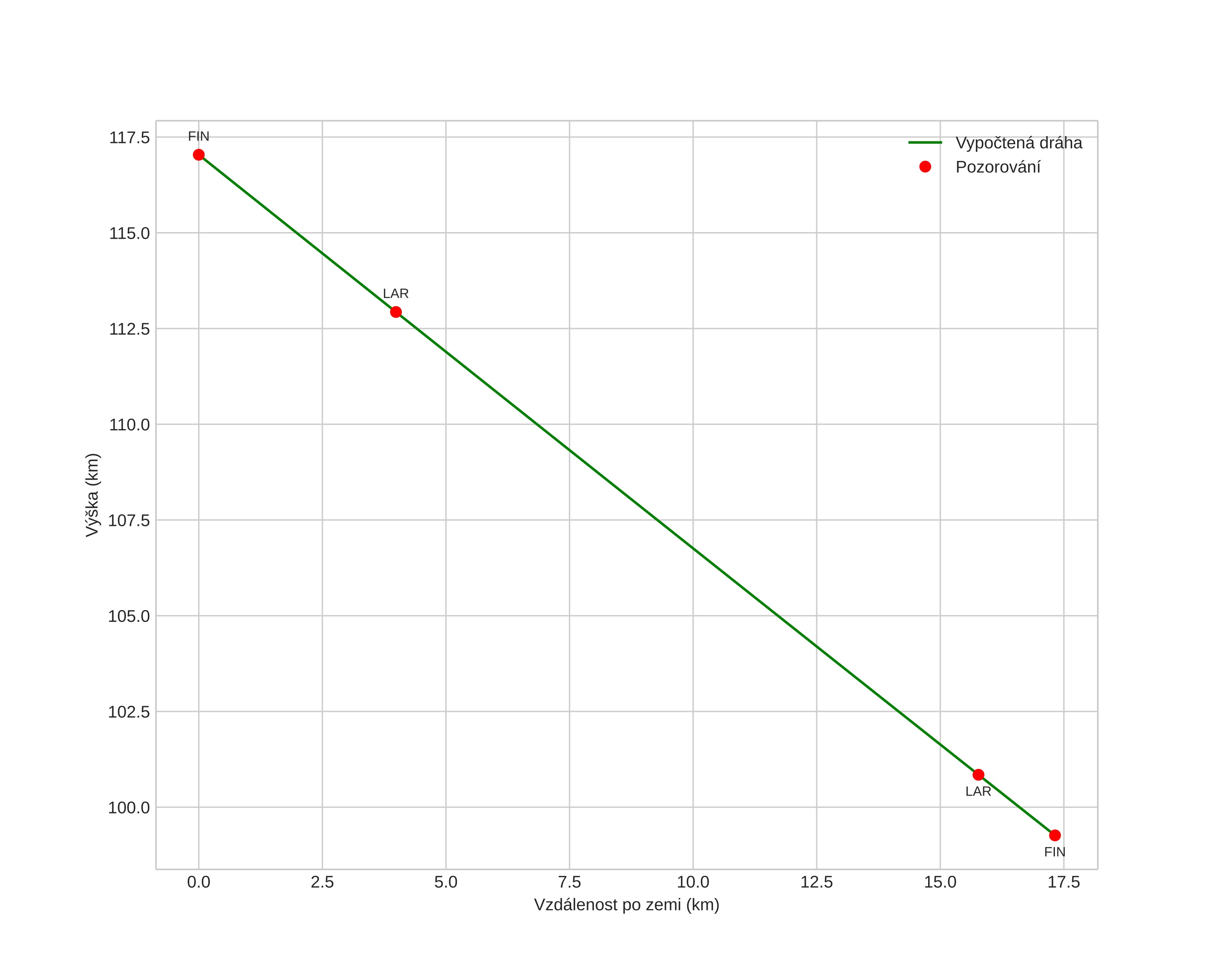
height profile
Atmosférická dráha meteoru:
Počáteční výška: 116,0 km
Konečná výška: 99,0 km
Počáteční poloha: 59,945N 10,350E
Konečná poloha: 60,064N 10,176E
Směr: 324,1°
Sklon: 46,0°
VstupnĂ­ rychlost: 39,6 km/s
Rektascenze radiantu: 10:22 (155,7°)
Deklinace radiantu: 19,1°
MeteorickĂ˝ roj: sporadickĂ˝
Elementy dráhy meteoroidu:
Vzdálenost v periheliu: 0,049 AU
Excentricita: 0,906
Sklon dráhy: 142,9°
Délka vzestupného uzlu: 240,0°
Argument perihelia: 0,0°
Střední anomálie: 179,8°
Epocha: 2024 NOV 22 03:54:20
orbit plot

NeinteraktivnĂ­ graf | InteraktivnĂ­ graf

position vs time
speed and acceleration