🇳🇴 🇬🇧 🇩🇪 🇨🇿 🇫🇮

Meteor, poloha: Innbygda 2024-11-22 04:24:06 UTC

Soubor KML  |  InteraktivnĂ­ mapa

Mapa zobrazuje dráhy meteoru. Světlejší čáry ukazují směry od pozorovacích stanic při objevení se meteoru a tmavší čáry, kde byl naposledy viděn. Modrá šipka značí viditelnou dráhu meteoru.

static map
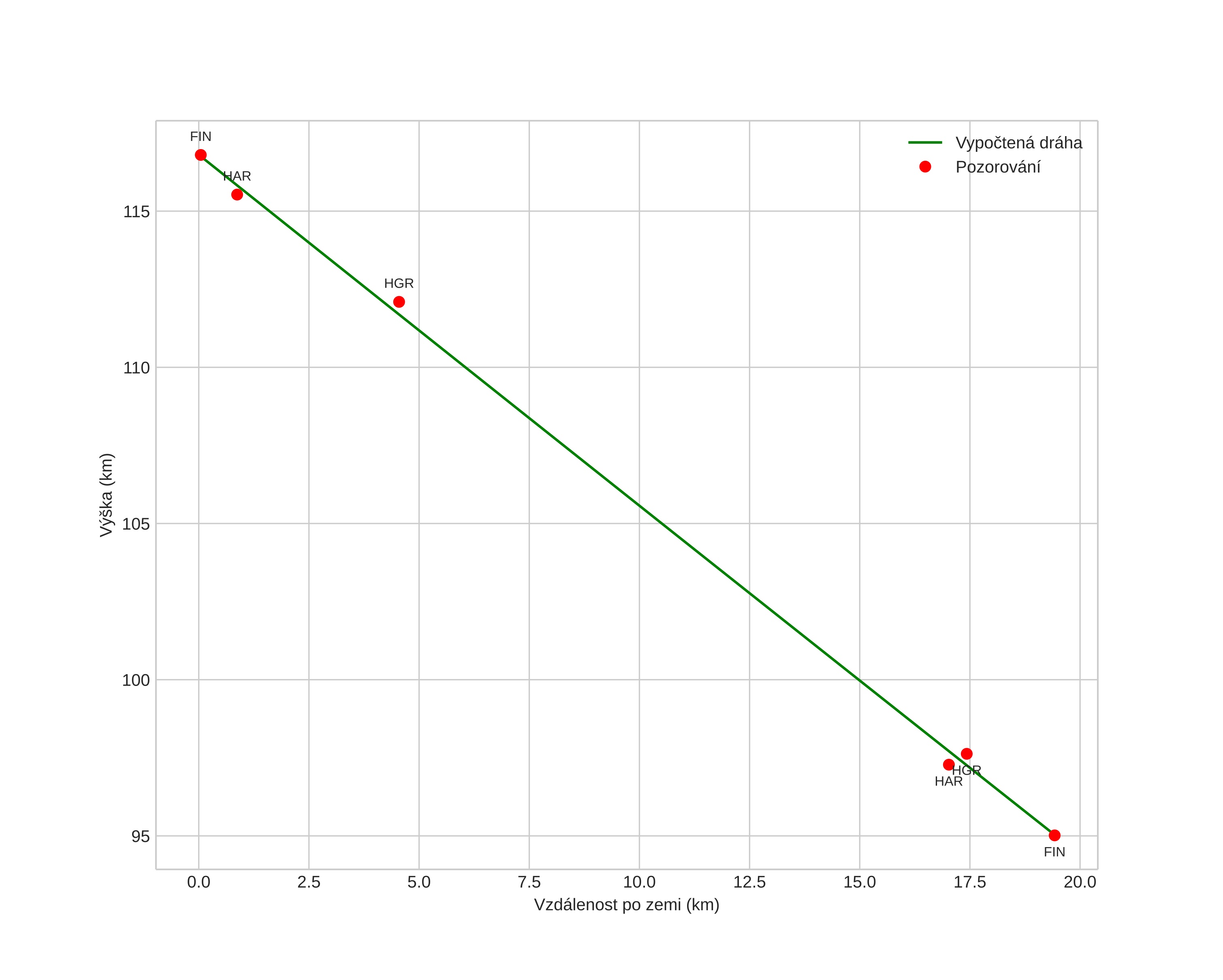
height profile
Atmosférická dráha meteoru:
Počáteční výška: 117,0 km
Konečná výška: 96,5 km
Počáteční poloha: 60,744N 12,677E
Konečná poloha: 60,897N 12,539E
Směr: 336,3°
Sklon: 47,8°
VstupnĂ­ rychlost: 73,0 km/s
Rektascenze radiantu: 10:26 (156,5°)
Deklinace radiantu: 20,0°
MeteorickĂ˝ roj: Leonidy
Elementy dráhy meteoroidu:
Vzdálenost v periheliu: 0,987 AU
Excentricita: 1,025
Sklon dráhy: 163,8°
Délka vzestupného uzlu: 240,0°
Argument perihelia: 178,0°
Střední anomálie: 0,0°
Epocha: 2024 NOV 22 04:24:06
orbit plot

NeinteraktivnĂ­ graf | InteraktivnĂ­ graf

position vs time
speed and acceleration

Harestua (HAR) cam2


gnomonic
Videa
• Gnomonická
• Gnomonická se souřadnicemi
• Původní
• Původní se souřadnicemi
Obrázky
• Gnomonická
• Gnomonická se souřadnicemi
• Gnomonická s popisky
• Původní
• Původní se souřadnicemi
Textové soubory
• Detekce
• Pozorování
• Souřadnice
• Protokol
Jasnost