🇳🇴 🇬🇧 🇩🇪 🇨🇿 🇫🇮

Meteor, poloha: Gistrup 2024-11-22 04:33:37 UTC

Soubor KML  |  InteraktivnĂ­ mapa

Mapa zobrazuje dráhy meteoru. Světlejší čáry ukazují směry od pozorovacích stanic při objevení se meteoru a tmavší čáry, kde byl naposledy viděn. Modrá šipka značí viditelnou dráhu meteoru.

static map
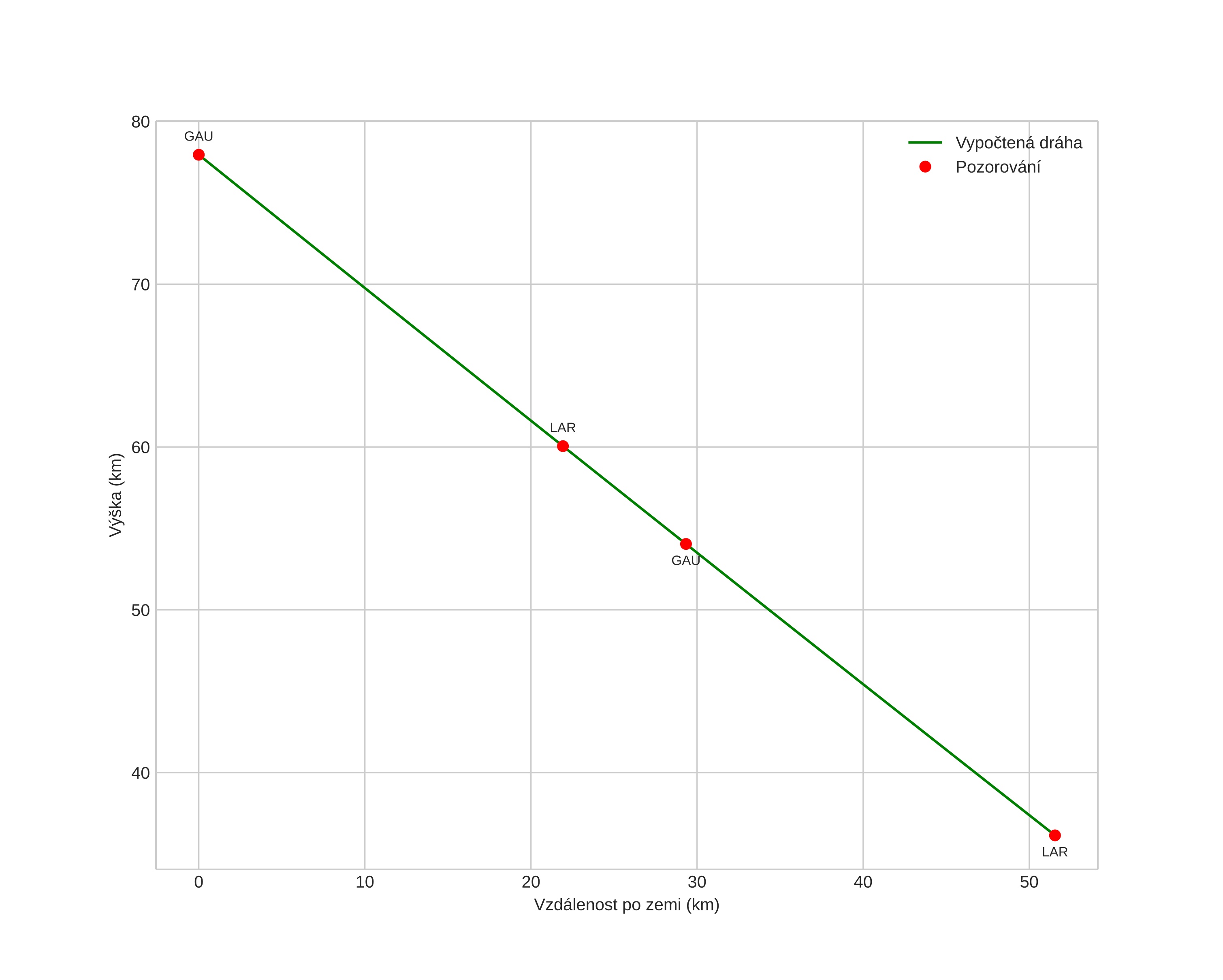
height profile
Atmosférická dráha meteoru:
Počáteční výška: 77,1 km
Konečná výška: 34,3 km
Počáteční poloha: 56,485N 9,521E
Konečná poloha: 56,901N 10,048E
Směr: 34,6°
Sklon: 37,2°
VstupnĂ­ rychlost: 38,7 km/s
Rektascenze radiantu: 07:25 (111,3°)
Deklinace radiantu: 7,0°
MeteorickĂ˝ roj: sporadickĂ˝
Elementy dráhy meteoroidu:
Vzdálenost v periheliu: 0,054 AU
Excentricita: 0,928
Sklon dráhy: 78,6°
Délka vzestupného uzlu: 60,0°
Argument perihelia: 164,8°
Střední anomálie: 298,8°
Epocha: 2024 NOV 22 04:33:37
orbit plot

NeinteraktivnĂ­ graf | InteraktivnĂ­ graf

position vs time
speed and acceleration