🇳🇴 🇬🇧 🇩🇪 🇨🇿 🇫🇮

Meteor, poloha: Hopen 2024-11-22 04:55:47 UTC

Soubor KML  |  InteraktivnĂ­ mapa

Mapa zobrazuje dráhy meteoru. Světlejší čáry ukazují směry od pozorovacích stanic při objevení se meteoru a tmavší čáry, kde byl naposledy viděn. Modrá šipka značí viditelnou dráhu meteoru.

static map
height profile
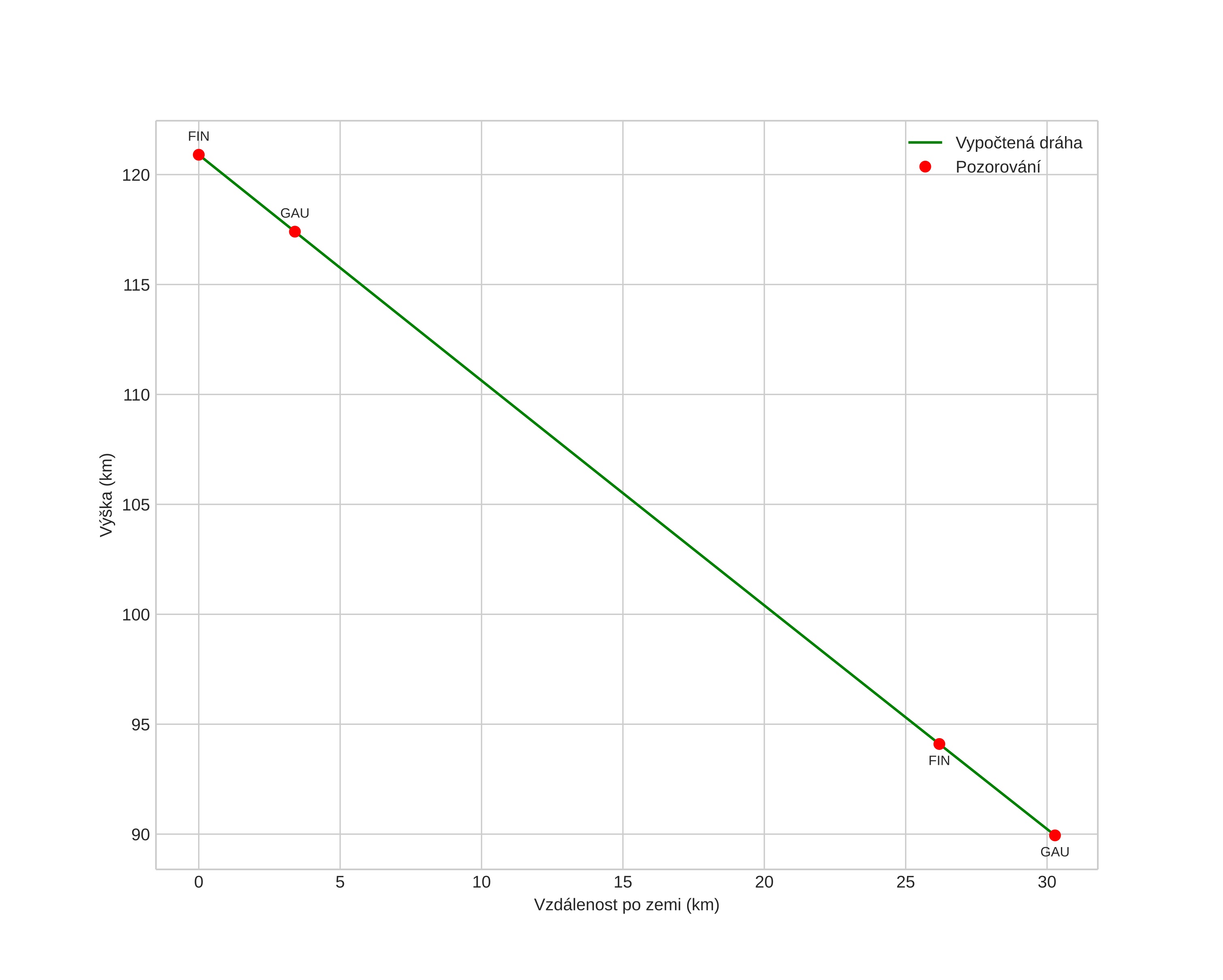
Atmosférická dráha meteoru:
Počáteční výška: 121,1 km
Konečná výška: 89,1 km
Počáteční poloha: 64,864N 7,792E
Konečná poloha: 65,150N 7,551E
Směr: 340,5°
Sklon: 43,5°
VstupnĂ­ rychlost: 78,1 km/s
Rektascenze radiantu: 10:31 (157,8°)
Deklinace radiantu: 19,3°
MeteorickĂ˝ roj: Leonidy
Elementy dráhy meteoroidu:
Vzdálenost v periheliu: 0,985 AU
Excentricita: 1,540
Sklon dráhy: 164,9°
Délka vzestupného uzlu: 240,0°
Argument perihelia: 174,7°
Střední anomálie: 1,3°
Epocha: 2024 NOV 22 04:55:47
orbit plot

NeinteraktivnĂ­ graf | InteraktivnĂ­ graf

position vs time
speed and acceleration