🇳🇴 🇬🇧 🇩🇪 🇨🇿 🇫🇮

Meteor, poloha: Kirkenær 2024-11-22 05:25:20 UTC

Soubor KML  |  InteraktivnĂ­ mapa

Mapa zobrazuje dráhy meteoru. Světlejší čáry ukazují směry od pozorovacích stanic při objevení se meteoru a tmavší čáry, kde byl naposledy viděn. Modrá šipka značí viditelnou dráhu meteoru.

static map
height profile
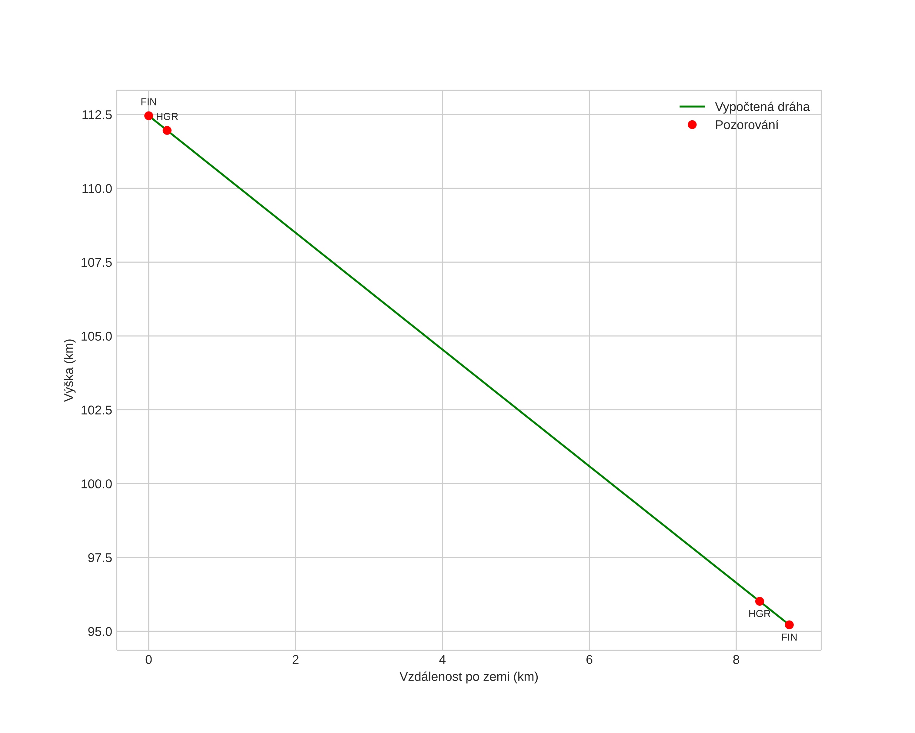
Atmosférická dráha meteoru:
Počáteční výška: 111,9 km
Konečná výška: 93,2 km
Počáteční poloha: 60,364N 11,906E
Konečná poloha: 60,437N 11,993E
Směr: 30,4°
Sklon: 63,2°
VstupnĂ­ rychlost: 71,6 km/s
Rektascenze radiantu: 09:11 (137,9°)
Deklinace radiantu: 35,5°
MeteorickĂ˝ roj: sporadickĂ˝
Elementy dráhy meteoroidu:
Vzdálenost v periheliu: 0,754 AU
Excentricita: 1,294
Sklon dráhy: 145,7°
Délka vzestupného uzlu: 240,1°
Argument perihelia: 234,5°
Střední anomálie: -6,9°
Epocha: 2024 NOV 22 05:25:20
orbit plot

NeinteraktivnĂ­ graf | InteraktivnĂ­ graf

position vs time
speed and acceleration