🇳🇴 🇬🇧 🇩🇪 🇨🇿 🇫🇮

Meteor, poloha: Malung 2024-11-22 05:42:11 UTC

Soubor KML  |  InteraktivnĂ­ mapa

Mapa zobrazuje dráhy meteoru. Světlejší čáry ukazují směry od pozorovacích stanic při objevení se meteoru a tmavší čáry, kde byl naposledy viděn. Modrá šipka značí viditelnou dráhu meteoru.

static map
height profile
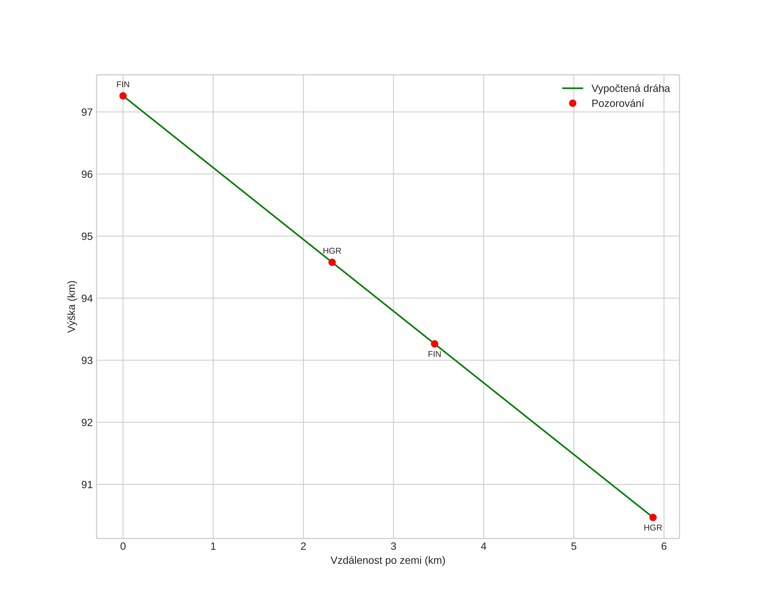
Atmosférická dráha meteoru:
Počáteční výška: 97,4 km
Konečná výška: 89,9 km
Počáteční poloha: 60,434N 13,666E
Konečná poloha: 60,393N 13,736E
Směr: 140,0°
Sklon: 51,6°
VstupnĂ­ rychlost: 39,5 km/s
Rektascenze radiantu: 04:20 (65,1°)
Deklinace radiantu: 65,5°
MeteorickĂ˝ roj: sporadickĂ˝
Elementy dráhy meteoroidu:
Vzdálenost v periheliu: 0,627 AU
Excentricita: 1,082
Sklon dráhy: 49,2°
Délka vzestupného uzlu: 240,1°
Argument perihelia: 252,7°
Střední anomálie: -1,7°
Epocha: 2024 NOV 22 05:42:11
orbit plot

NeinteraktivnĂ­ graf | InteraktivnĂ­ graf

position vs time
speed and acceleration