🇳🇴 🇬🇧 🇩🇪 🇨🇿 🇫🇮

Meteor, poloha: Torsby 2024-11-22 16:14:33 UTC

Soubor KML  |  InteraktivnĂ­ mapa

Mapa zobrazuje dráhy meteoru. Světlejší čáry ukazují směry od pozorovacích stanic při objevení se meteoru a tmavší čáry, kde byl naposledy viděn. Modrá šipka značí viditelnou dráhu meteoru.

static map
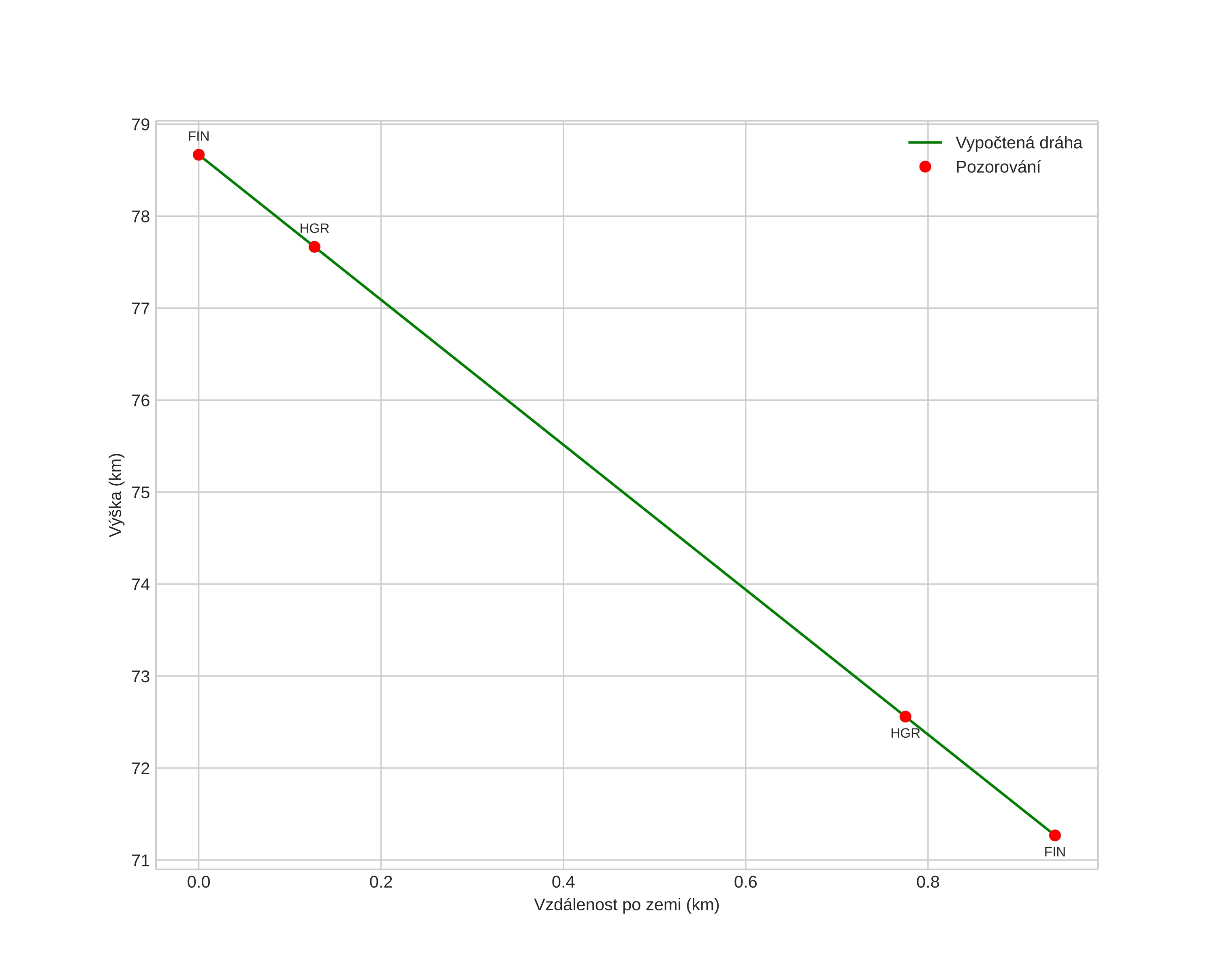
height profile
Atmosférická dráha meteoru:
Počáteční výška: 80,3 km
Konečná výška: 69,2 km
Počáteční poloha: 60,695N 12,733E
Konečná poloha: 60,697N 12,758E
Směr: 78,4°
Sklon: 82,8°
VstupnĂ­ rychlost: 17,7 km/s
Rektascenze radiantu: 20:06 (301,7°)
Deklinace radiantu: 57,7°
MeteorickĂ˝ roj: sporadickĂ˝
Elementy dráhy meteoroidu:
Vzdálenost v periheliu: 0,986 AU
Excentricita: 0,493
Sklon dráhy: 21,3°
Délka vzestupného uzlu: 240,5°
Argument perihelia: 186,0°
Střední anomálie: 358,2°
Epocha: 2024 NOV 22 16:14:33
orbit plot

NeinteraktivnĂ­ graf | InteraktivnĂ­ graf

position vs time
speed and acceleration