🇳🇴 🇬🇧 🇩🇪 🇨🇿 🇫🇮

Meteor, poloha: Jaren 2024-11-22 17:11:16 UTC

Soubor KML  |  InteraktivnĂ­ mapa

Mapa zobrazuje dráhy meteoru. Světlejší čáry ukazují směry od pozorovacích stanic při objevení se meteoru a tmavší čáry, kde byl naposledy viděn. Modrá šipka značí viditelnou dráhu meteoru.

static map
height profile
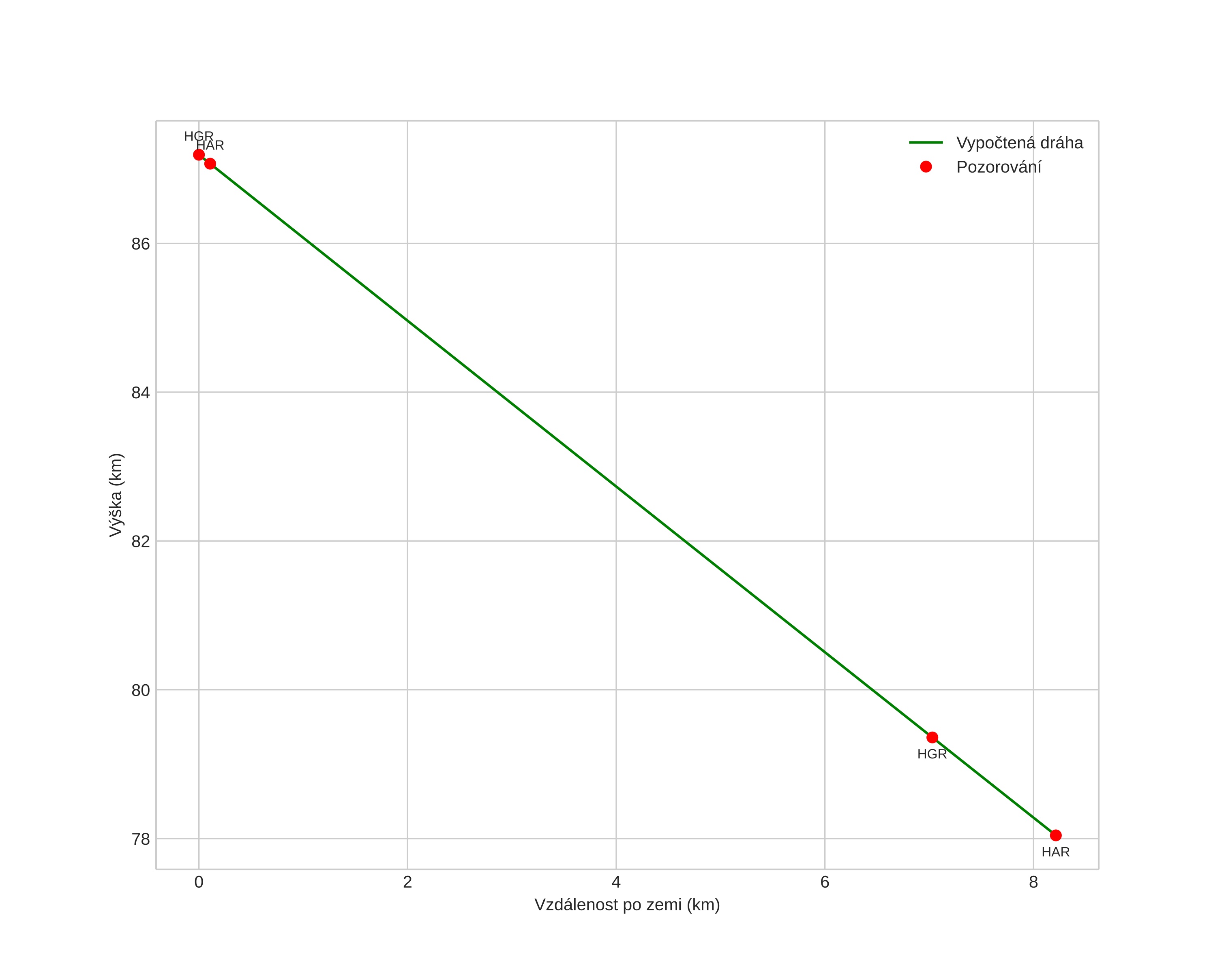
Atmosférická dráha meteoru:
Počáteční výška: 87,3 km
Konečná výška: 78,2 km
Počáteční poloha: 60,518N 10,586E
Konečná poloha: 60,477N 10,710E
Směr: 124,0°
Sklon: 47,9°
VstupnĂ­ rychlost: 36,9 km/s
Rektascenze radiantu: 16:12 (243,2°)
Deklinace radiantu: 55,2°
MeteorickĂ˝ roj: sporadickĂ˝
Elementy dráhy meteoroidu:
Vzdálenost v periheliu: 0,949 AU
Excentricita: 1,029
Sklon dráhy: 53,9°
Délka vzestupného uzlu: 240,6°
Argument perihelia: 157,4°
Střední anomálie: 0,1°
Epocha: 2024 NOV 22 17:11:16
orbit plot

NeinteraktivnĂ­ graf | InteraktivnĂ­ graf

position vs time
speed and acceleration

Harestua (HAR) cam6


gnomonic
Videa
• Gnomonická
• Gnomonická se souřadnicemi
• Původní
• Původní se souřadnicemi
Obrázky
• Gnomonická
• Gnomonická se souřadnicemi
• Gnomonická s popisky
• Původní
• Původní se souřadnicemi
Textové soubory
• Detekce
• Pozorování
• Souřadnice
• Protokol
Jasnost