🇳🇴 🇬🇧 🇩🇪 🇨🇿 🇫🇮

Meteor, poloha: Kirkenær 2024-11-22 18:49:21 UTC

Soubor KML  |  InteraktivnĂ­ mapa

Mapa zobrazuje dráhy meteoru. Světlejší čáry ukazují směry od pozorovacích stanic při objevení se meteoru a tmavší čáry, kde byl naposledy viděn. Modrá šipka značí viditelnou dráhu meteoru.

static map
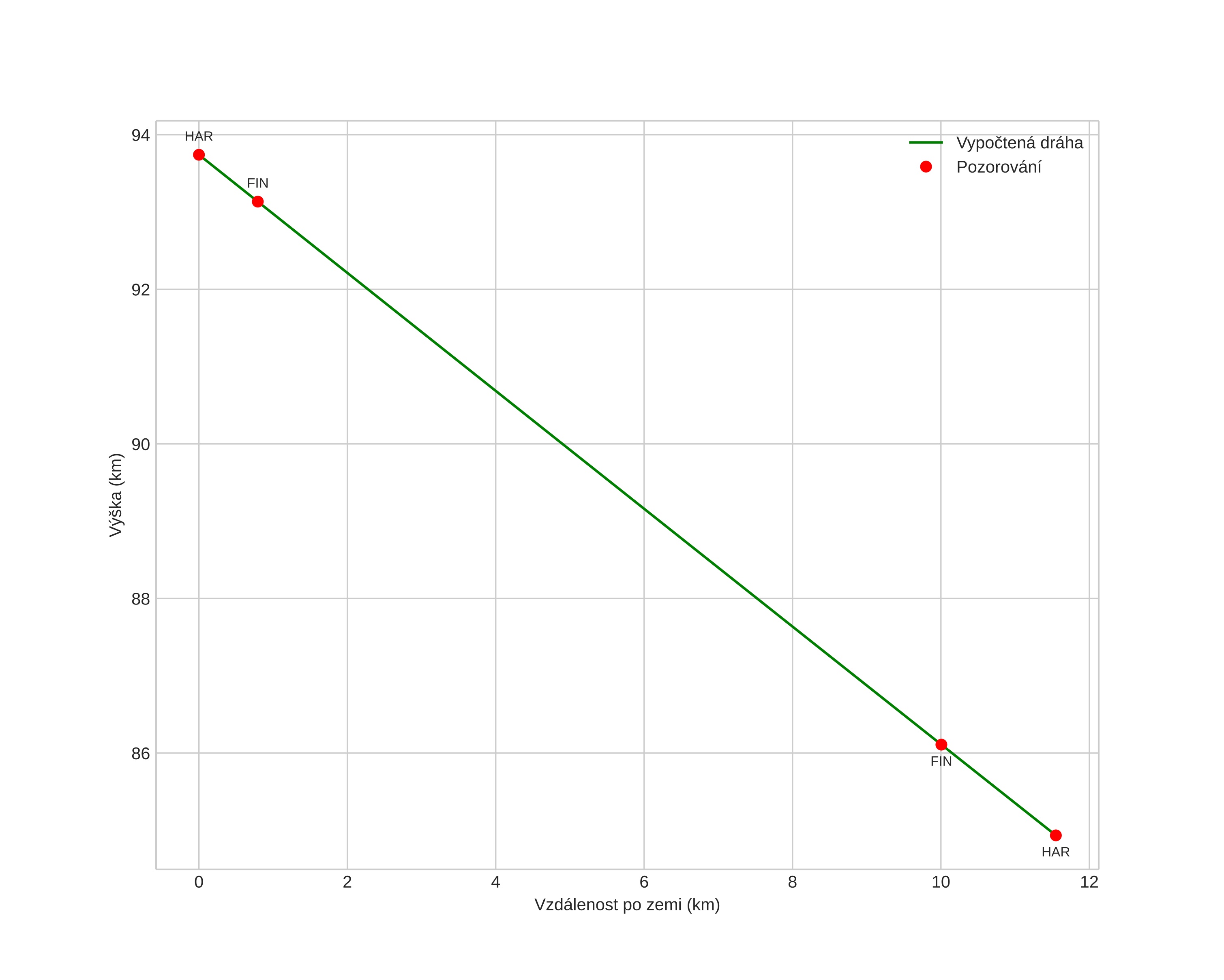
height profile
Atmosférická dráha meteoru:
Počáteční výška: 94,6 km
Konečná výška: 84,8 km
Počáteční poloha: 60,409N 12,452E
Konečná poloha: 60,441N 12,231E
Směr: 286,5°
Sklon: 37,7°
VstupnĂ­ rychlost: 21,4 km/s
Rektascenze radiantu: 03:41 (55,4°)
Deklinace radiantu: 21,2°
MeteorickĂ˝ roj: sporadickĂ˝
Elementy dráhy meteoroidu:
Vzdálenost v periheliu: 0,645 AU
Excentricita: 0,638
Sklon dráhy: 0,9°
Délka vzestupného uzlu: 240,4°
Argument perihelia: 264,0°
Střední anomálie: 340,5°
Epocha: 2024 NOV 22 18:49:21
orbit plot

NeinteraktivnĂ­ graf | InteraktivnĂ­ graf

position vs time
speed and acceleration