🇳🇴 🇬🇧 🇩🇪 🇨🇿 🇫🇮

Meteor, poloha: Noresund 2024-11-22 19:05:56 UTC

Soubor KML  |  InteraktivnĂ­ mapa

Mapa zobrazuje dráhy meteoru. Světlejší čáry ukazují směry od pozorovacích stanic při objevení se meteoru a tmavší čáry, kde byl naposledy viděn. Modrá šipka značí viditelnou dráhu meteoru.

static map
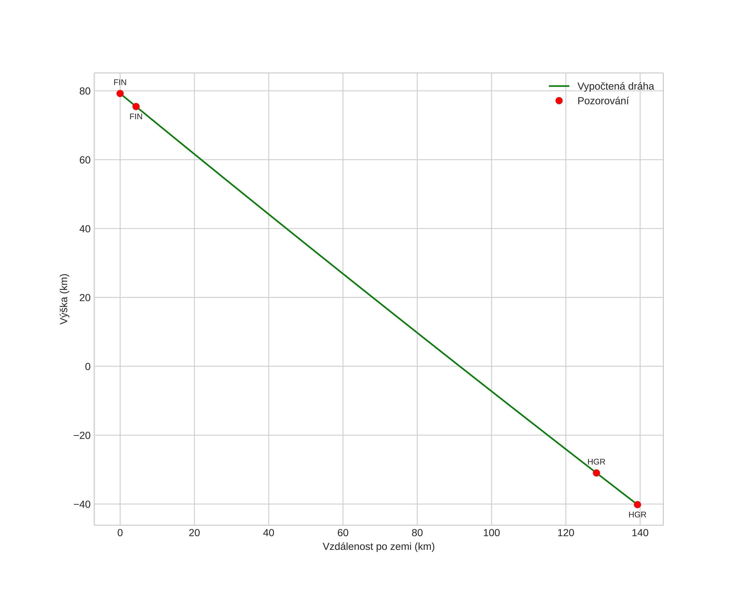
height profile
Atmosférická dráha meteoru:
Počáteční výška: 79,0 km
Konečná výška: -41,8 km
Počáteční poloha: 61,470N 11,027E
Konečná poloha: 60,332N 9,872E
Směr: 206,8°
Sklon: 40,6°
VstupnĂ­ rychlost: 39,2 km/s
Rektascenze radiantu: 08:41 (130,4°)
Deklinace radiantu: 62,9°
MeteorickĂ˝ roj: sporadickĂ˝
Elementy dráhy meteoroidu:
Vzdálenost v periheliu: 0,509 AU
Excentricita: 0,542
Sklon dráhy: 72,3°
Délka vzestupného uzlu: 240,6°
Argument perihelia: 292,2°
Střední anomálie: 312,3°
Epocha: 2024 NOV 22 19:05:56
orbit plot

NeinteraktivnĂ­ graf | InteraktivnĂ­ graf

position vs time
speed and acceleration