🇳🇴 🇬🇧 🇩🇪 🇨🇿 🇫🇮

Meteor, poloha: Elverum 2024-11-22 19:58:50 UTC

Soubor KML  |  InteraktivnĂ­ mapa

Mapa zobrazuje dráhy meteoru. Světlejší čáry ukazují směry od pozorovacích stanic při objevení se meteoru a tmavší čáry, kde byl naposledy viděn. Modrá šipka značí viditelnou dráhu meteoru.

static map
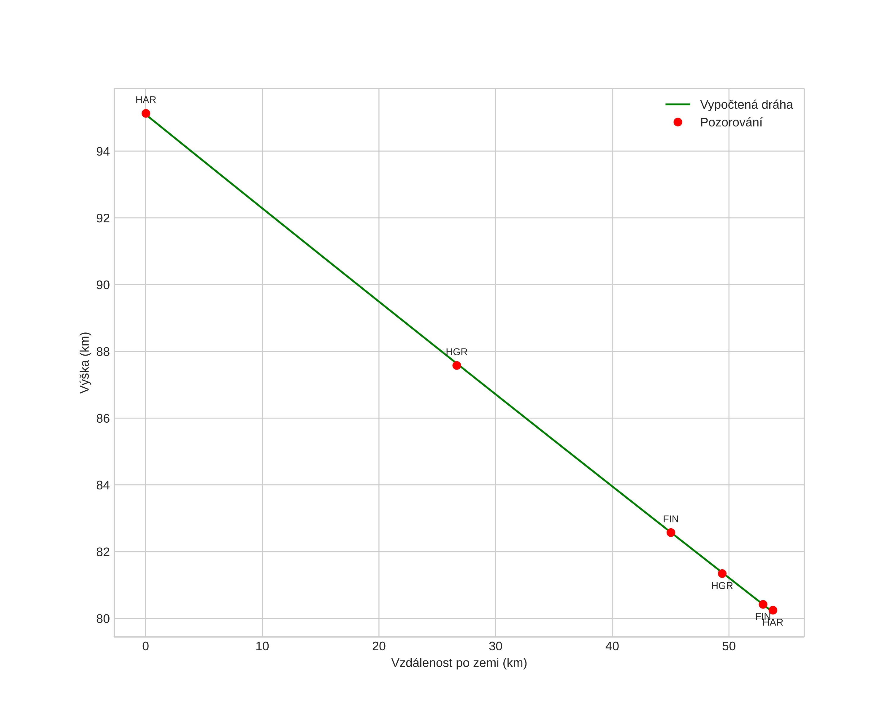
height profile
Atmosférická dráha meteoru:
Počáteční výška: 95,2 km
Konečná výška: 80,3 km
Počáteční poloha: 60,791N 12,555E
Konečná poloha: 61,104N 11,791E
Směr: 310,5°
Sklon: 15,4°
VstupnĂ­ rychlost: 27,5 km/s
Rektascenze radiantu: 04:10 (62,6°)
Deklinace radiantu: -7,9°
MeteorickĂ˝ roj: sporadickĂ˝
Elementy dráhy meteoroidu:
Vzdálenost v periheliu: 0,650 AU
Excentricita: 0,851
Sklon dráhy: 21,1°
Délka vzestupného uzlu: 60,7°
Argument perihelia: 75,1°
Střední anomálie: 355,7°
Epocha: 2024 NOV 22 19:58:50
orbit plot

NeinteraktivnĂ­ graf | InteraktivnĂ­ graf

position vs time
speed and acceleration