🇳🇴 🇬🇧 🇩🇪 🇨🇿 🇫🇮

Meteor, poloha: Geilo 2024-11-22 20:20:08 UTC

Soubor KML  |  InteraktivnĂ­ mapa

Mapa zobrazuje dráhy meteoru. Světlejší čáry ukazují směry od pozorovacích stanic při objevení se meteoru a tmavší čáry, kde byl naposledy viděn. Modrá šipka značí viditelnou dráhu meteoru.

static map
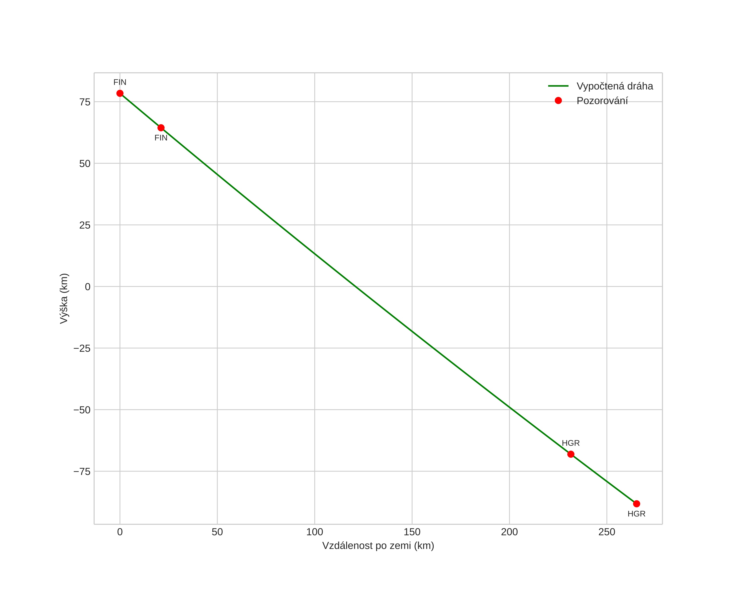
height profile
Atmosférická dráha meteoru:
Počáteční výška: 79,7 km
Konečná výška: -92,0 km
Počáteční poloha: 61,558N 12,398E
Konečná poloha: 60,483N 7,858E
Směr: 246,0°
Sklon: 32,2°
VstupnĂ­ rychlost: 58,2 km/s
Rektascenze radiantu: 07:32 (113,2°)
Deklinace radiantu: 39,0°
MeteorickĂ˝ roj: sporadickĂ˝
Elementy dráhy meteoroidu:
Vzdálenost v periheliu: 0,213 AU
Excentricita: 0,986
Sklon dráhy: 121,8°
Délka vzestupného uzlu: 240,7°
Argument perihelia: 305,4°
Střední anomálie: 359,4°
Epocha: 2024 NOV 22 20:20:08
orbit plot

NeinteraktivnĂ­ graf | InteraktivnĂ­ graf

position vs time
speed and acceleration