🇳🇴 🇬🇧 🇩🇪 🇨🇿 🇫🇮

Meteor, poloha: Torsby 2024-11-22 20:28:48 UTC

Soubor KML  |  InteraktivnĂ­ mapa

Mapa zobrazuje dráhy meteoru. Světlejší čáry ukazují směry od pozorovacích stanic při objevení se meteoru a tmavší čáry, kde byl naposledy viděn. Modrá šipka značí viditelnou dráhu meteoru.

static map
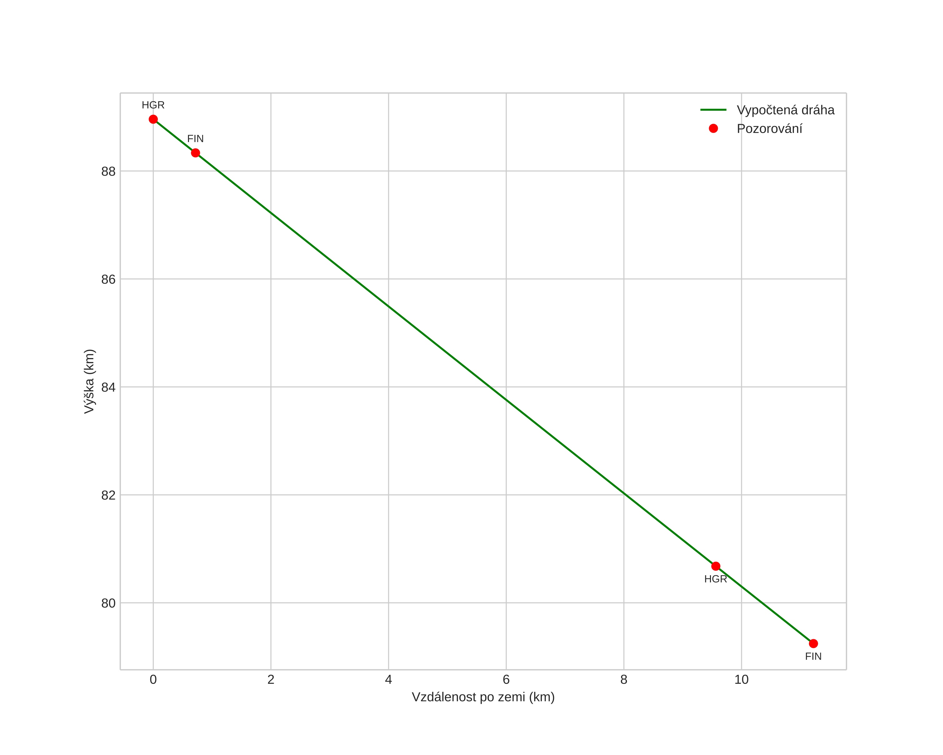
height profile
Atmosférická dráha meteoru:
Počáteční výška: 90,3 km
Konečná výška: 79,2 km
Počáteční poloha: 60,739N 12,974E
Konečná poloha: 60,807N 12,785E
Směr: 306,6°
Sklon: 41,0°
VstupnĂ­ rychlost: 26,0 km/s
Rektascenze radiantu: 04:12 (63,0°)
Deklinace radiantu: 18,2°
MeteorickĂ˝ roj: SevernĂ­ Tauridy
Elementy dráhy meteoroidu:
Vzdálenost v periheliu: 0,513 AU
Excentricita: 0,759
Sklon dráhy: 2,3°
Délka vzestupného uzlu: 60,8°
Argument perihelia: 96,5°
Střední anomálie: 345,7°
Epocha: 2024 NOV 22 20:28:48
orbit plot

NeinteraktivnĂ­ graf | InteraktivnĂ­ graf

position vs time
speed and acceleration