🇳🇴 🇬🇧 🇩🇪 🇨🇿 🇫🇮

Meteor, poloha: Vinstra 2024-11-22 21:31:31 UTC

Soubor KML  |  InteraktivnĂ­ mapa

Mapa zobrazuje dráhy meteoru. Světlejší čáry ukazují směry od pozorovacích stanic při objevení se meteoru a tmavší čáry, kde byl naposledy viděn. Modrá šipka značí viditelnou dráhu meteoru.

static map
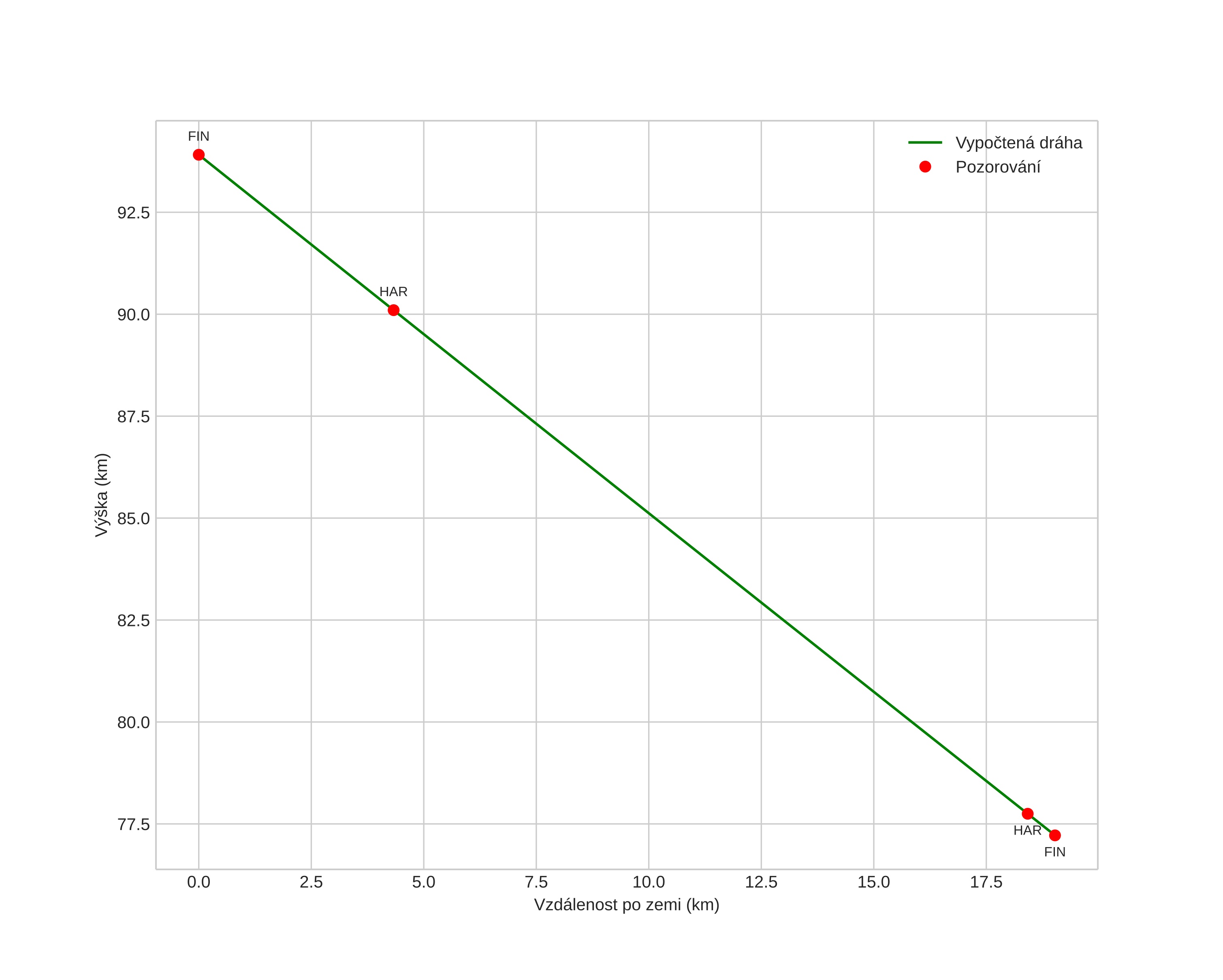
height profile
Atmosférická dráha meteoru:
Počáteční výška: 93,9 km
Konečná výška: 77,2 km
Počáteční poloha: 61,445N 9,884E
Konečná poloha: 61,577N 9,656E
Směr: 320,6°
Sklon: 41,2°
VstupnĂ­ rychlost: 31,2 km/s
Rektascenze radiantu: 04:19 (64,9°)
Deklinace radiantu: 15,8°
MeteorickĂ˝ roj: SevernĂ­ Tauridy
Elementy dráhy meteoroidu:
Vzdálenost v periheliu: 0,444 AU
Excentricita: 0,910
Sklon dráhy: 5,8°
Délka vzestupného uzlu: 60,8°
Argument perihelia: 99,0°
Střední anomálie: 356,4°
Epocha: 2024 NOV 22 21:31:31
orbit plot

NeinteraktivnĂ­ graf | InteraktivnĂ­ graf

position vs time
speed and acceleration