🇳🇴 🇬🇧 🇩🇪 🇨🇿 🇫🇮

Meteor Hønefossin yllä 2024-11-22 22:00:14 UTC

KML-tiedosto  |  Interaktiivinen kartta

Kartta näyttää meteorin suuntahavainnot. Vaaleammat viivat näyttävät suunnat havaintoasemilta meteorin ilmestyessä, ja tummemmat viivat näyttävät, missä se viimeksi nähtiin. Sininen nuoli näyttää meteorin näkyvän lennon.

static map
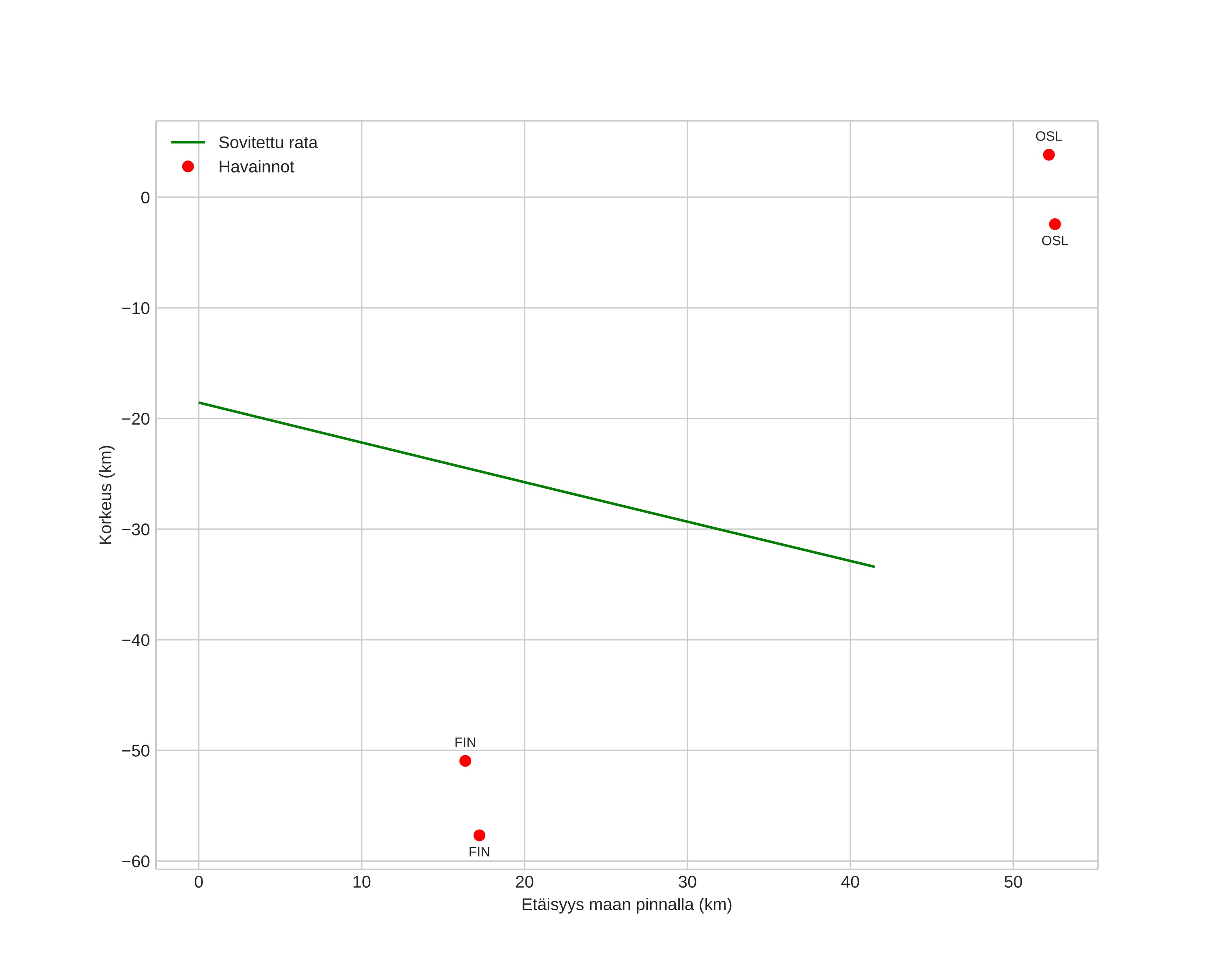
height profile
Meteorin ilmakehärata:
Alkukorkeus: -4,4 km
Loppukorkeus: -34,2 km
Alkupiste: 59,638N 11,555E
Loppupiste: 60,418N 10,126E
Suunta: 318,2°
Kallistuskulma: 14,2°
Tulonopeus: 6,2 km/s
position vs time
speed and acceleration