🇳🇴 🇬🇧 🇩🇪 🇨🇿 🇫🇮

Meteor, poloha: Larvik 2024-11-22 23:12:22 UTC

Soubor KML  |  InteraktivnĂ­ mapa

Mapa zobrazuje dráhy meteoru. Světlejší čáry ukazují směry od pozorovacích stanic při objevení se meteoru a tmavší čáry, kde byl naposledy viděn. Modrá šipka značí viditelnou dráhu meteoru.

static map
height profile
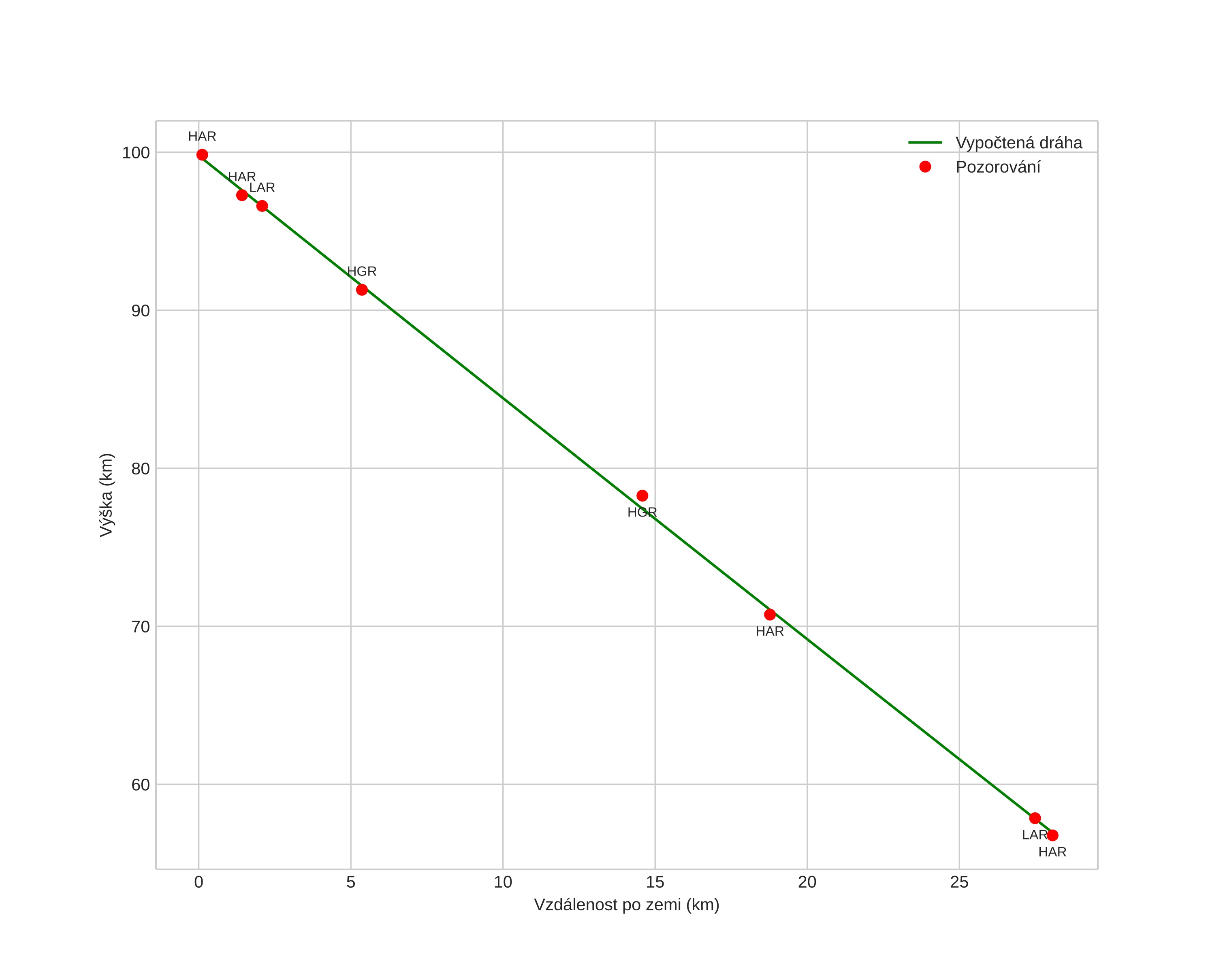
Atmosférická dráha meteoru:
Počáteční výška: 102,2 km
Konečná výška: 57,1 km
Počáteční poloha: 58,840N 10,025E
Konečná poloha: 59,101N 9,905E
Směr: 346,7°
Sklon: 56,5°
VstupnĂ­ rychlost: 29,1 km/s
Rektascenze radiantu: 04:31 (67,8°)
Deklinace radiantu: 24,4°
MeteorickĂ˝ roj: SevernĂ­ Tauridy
Elementy dráhy meteoroidu:
Vzdálenost v periheliu: 0,408 AU
Excentricita: 0,816
Sklon dráhy: 2,6°
Délka vzestupného uzlu: 240,7°
Argument perihelia: 287,9°
Střední anomálie: 347,1°
Epocha: 2024 NOV 22 23:12:22
orbit plot

NeinteraktivnĂ­ graf | InteraktivnĂ­ graf

position vs time
speed and acceleration