🇳🇴 🇬🇧 🇩🇪 🇨🇿 🇫🇮

Meteor, poloha: Rødberg 2024-11-22 23:55:05 UTC

Soubor KML  |  InteraktivnĂ­ mapa

Mapa zobrazuje dráhy meteoru. Světlejší čáry ukazují směry od pozorovacích stanic při objevení se meteoru a tmavší čáry, kde byl naposledy viděn. Modrá šipka značí viditelnou dráhu meteoru.

static map
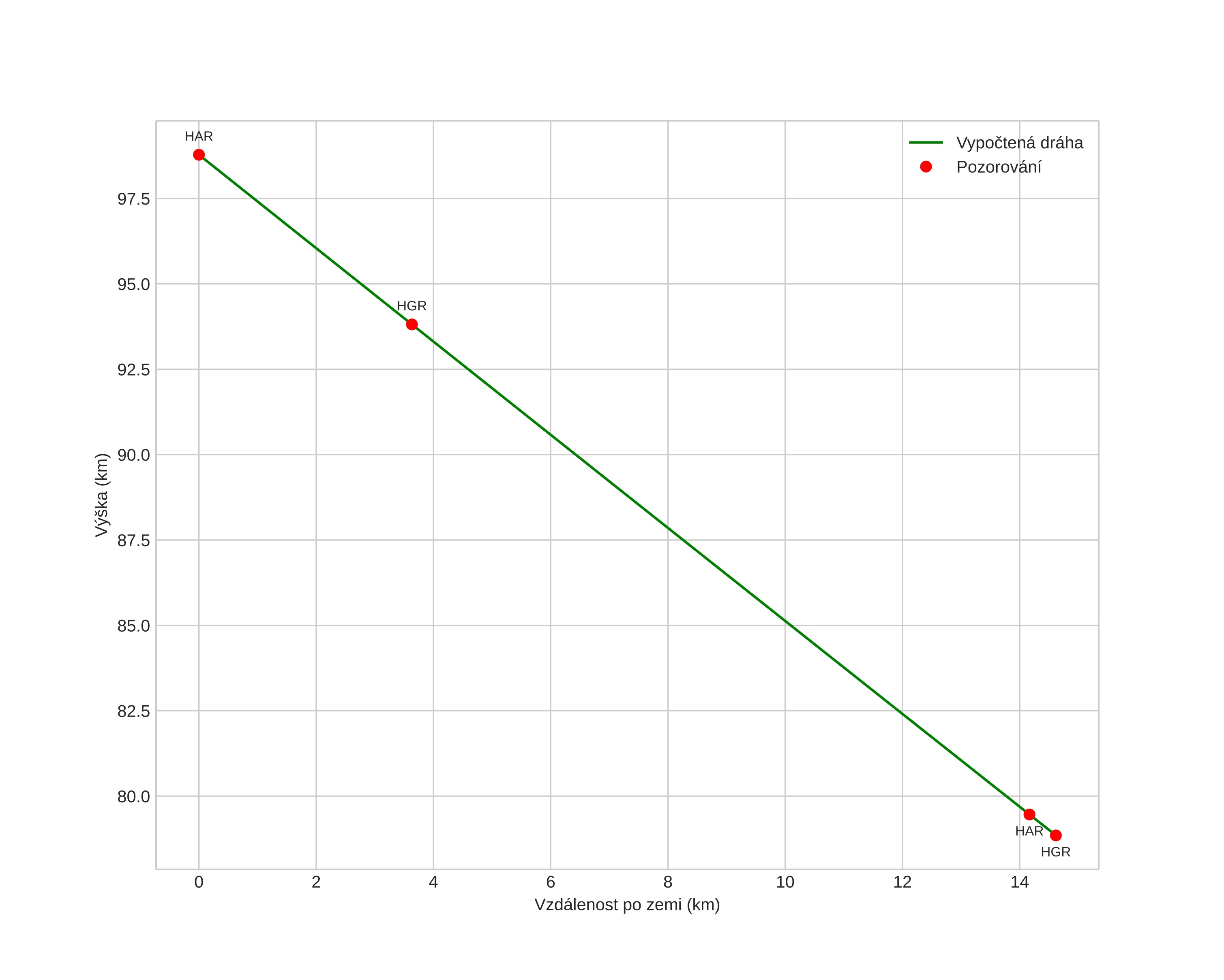
height profile
Atmosférická dráha meteoru:
Počáteční výška: 98,4 km
Konečná výška: 78,5 km
Počáteční poloha: 59,966N 8,985E
Konečná poloha: 60,095N 8,896E
Směr: 341,0°
Sklon: 52,7°
VstupnĂ­ rychlost: 33,1 km/s
Rektascenze radiantu: 05:27 (81,9°)
Deklinace radiantu: 22,5°
MeteorickĂ˝ roj: sporadickĂ˝
Elementy dráhy meteoroidu:
Vzdálenost v periheliu: 0,205 AU
Excentricita: 0,863
Sklon dráhy: 1,2°
Délka vzestupného uzlu: 61,0°
Argument perihelia: 135,1°
Střední anomálie: 338,7°
Epocha: 2024 NOV 22 23:55:05
orbit plot

NeinteraktivnĂ­ graf | InteraktivnĂ­ graf

position vs time
speed and acceleration