🇳🇴 🇬🇧 🇩🇪 🇨🇿 🇫🇮

Meteor, poloha: Gaupne 2024-11-23 00:27:08 UTC

Soubor KML  |  InteraktivnĂ­ mapa

Mapa zobrazuje dráhy meteoru. Světlejší čáry ukazují směry od pozorovacích stanic při objevení se meteoru a tmavší čáry, kde byl naposledy viděn. Modrá šipka značí viditelnou dráhu meteoru.

static map
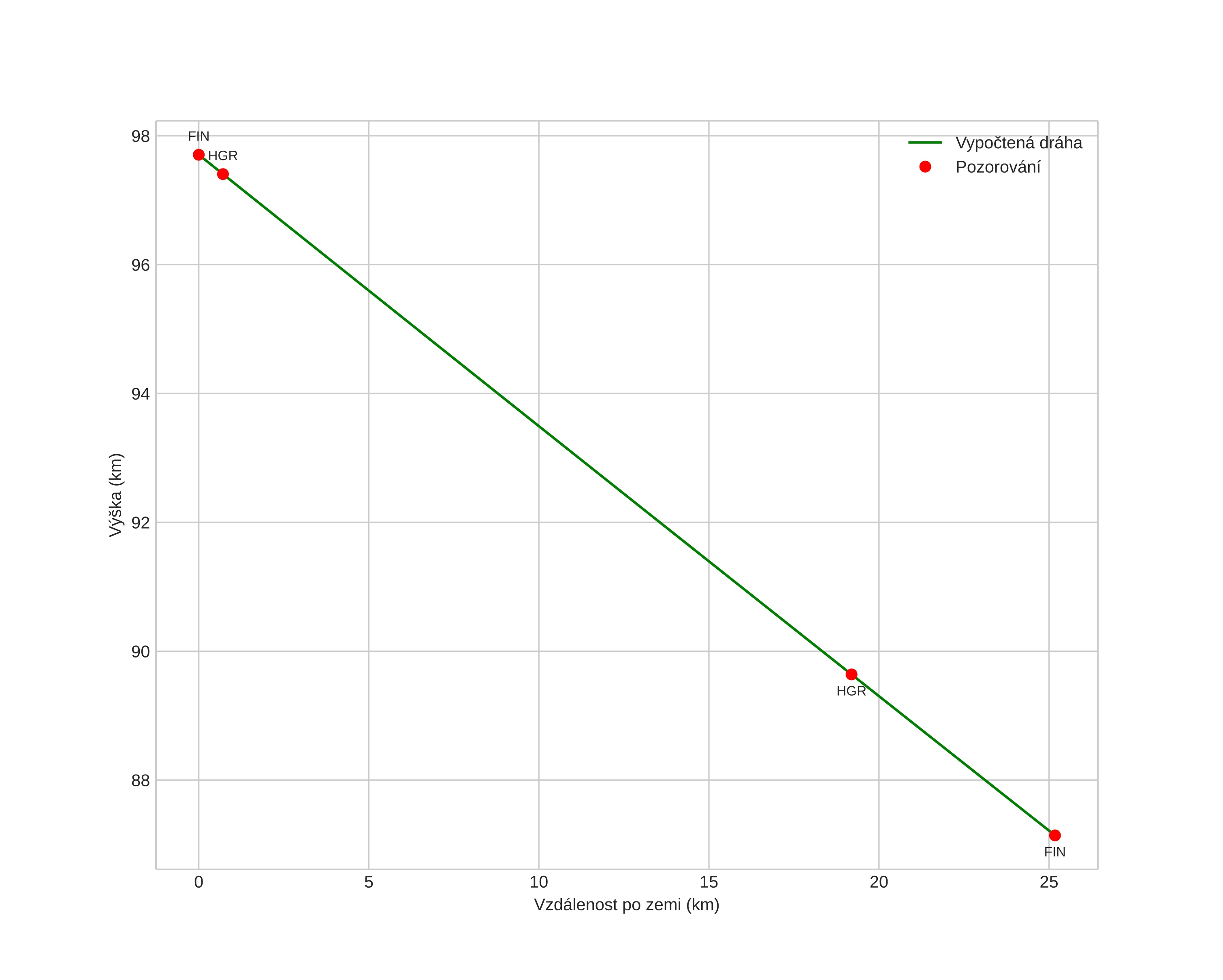
height profile
Atmosférická dráha meteoru:
Počáteční výška: 97,4 km
Konečná výška: 87,2 km
Počáteční poloha: 61,444N 7,725E
Konečná poloha: 61,601N 7,394E
Směr: 314,9°
Sklon: 22,4°
VstupnĂ­ rychlost: 63,2 km/s
Rektascenze radiantu: 07:50 (117,5°)
Deklinace radiantu: 0,8°
MeteorickĂ˝ roj: alpha-monocerotidene
Elementy dráhy meteoroidu:
Vzdálenost v periheliu: 0,460 AU
Excentricita: 0,991
Sklon dráhy: 133,0°
Délka vzestupného uzlu: 60,9°
Argument perihelia: 94,2°
Střední anomálie: 359,9°
Epocha: 2024 NOV 23 00:27:08
orbit plot

NeinteraktivnĂ­ graf | InteraktivnĂ­ graf

position vs time
speed and acceleration