🇳🇴 🇬🇧 🇩🇪 🇨🇿 🇫🇮

Meteor, poloha: Filipstad 2024-11-23 01:40:37 UTC

Soubor KML  |  InteraktivnĂ­ mapa

Mapa zobrazuje dráhy meteoru. Světlejší čáry ukazují směry od pozorovacích stanic při objevení se meteoru a tmavší čáry, kde byl naposledy viděn. Modrá šipka značí viditelnou dráhu meteoru.

static map
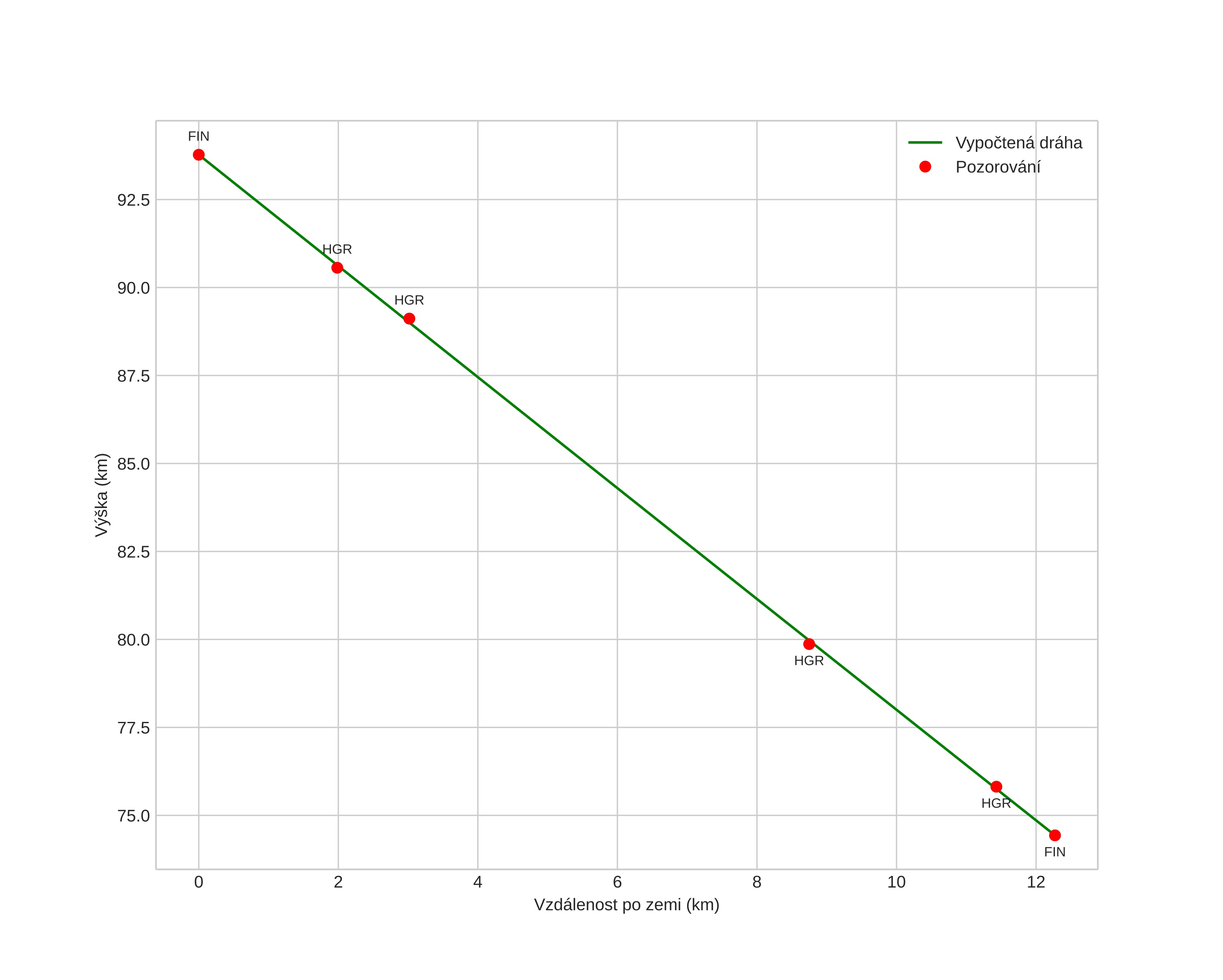
height profile
Atmosférická dráha meteoru:
Počáteční výška: 93,7 km
Konečná výška: 74,1 km
Počáteční poloha: 59,944N 13,976E
Konečná poloha: 60,028N 14,121E
Směr: 40,8°
Sklon: 57,8°
VstupnĂ­ rychlost: 42,3 km/s
Rektascenze radiantu: 05:05 (76,4°)
Deklinace radiantu: 31,2°
MeteorickĂ˝ roj: sporadickĂ˝
Elementy dráhy meteoroidu:
Vzdálenost v periheliu: 0,197 AU
Excentricita: 1,019
Sklon dráhy: 18,2°
Délka vzestupného uzlu: 240,9°
Argument perihelia: 305,8°
Střední anomálie: -1,0°
Epocha: 2024 NOV 23 01:40:37
orbit plot

NeinteraktivnĂ­ graf | InteraktivnĂ­ graf

position vs time
speed and acceleration