🇳🇴 🇬🇧 🇩🇪 🇨🇿 🇫🇮

Meteor, poloha: Elverum 2024-11-23 02:51:10 UTC

Soubor KML  |  InteraktivnĂ­ mapa

Mapa zobrazuje dráhy meteoru. Světlejší čáry ukazují směry od pozorovacích stanic při objevení se meteoru a tmavší čáry, kde byl naposledy viděn. Modrá šipka značí viditelnou dráhu meteoru.

static map
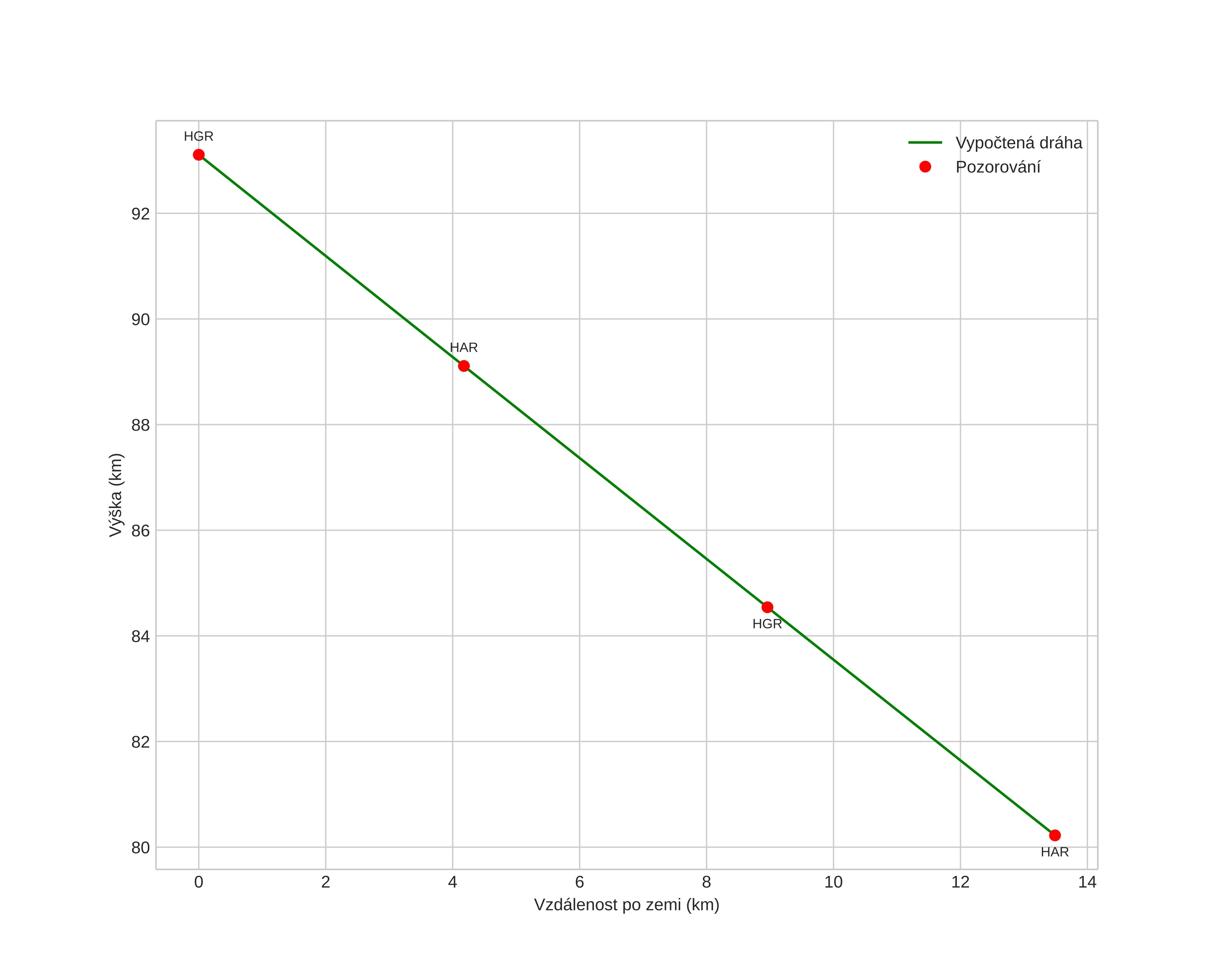
height profile
Atmosférická dráha meteoru:
Počáteční výška: 95,9 km
Konečná výška: 81,8 km
Počáteční poloha: 60,746N 11,454E
Konečná poloha: 60,803N 11,716E
Směr: 66,1°
Sklon: 42,2°
VstupnĂ­ rychlost: 29,7 km/s
Rektascenze radiantu: 04:24 (66,2°)
Deklinace radiantu: 24,1°
MeteorickĂ˝ roj: SevernĂ­ Tauridy
Elementy dráhy meteoroidu:
Vzdálenost v periheliu: 0,422 AU
Excentricita: 0,849
Sklon dráhy: 2,5°
Délka vzestupného uzlu: 240,9°
Argument perihelia: 284,4°
Střední anomálie: 351,2°
Epocha: 2024 NOV 23 02:51:10
orbit plot

NeinteraktivnĂ­ graf | InteraktivnĂ­ graf

position vs time
speed and acceleration