🇳🇴 🇬🇧 🇩🇪 🇨🇿 🇫🇮

Meteor, poloha: Slidre 2024-11-23 03:49:06 UTC

Soubor KML  |  InteraktivnĂ­ mapa

Mapa zobrazuje dráhy meteoru. Světlejší čáry ukazují směry od pozorovacích stanic při objevení se meteoru a tmavší čáry, kde byl naposledy viděn. Modrá šipka značí viditelnou dráhu meteoru.

static map
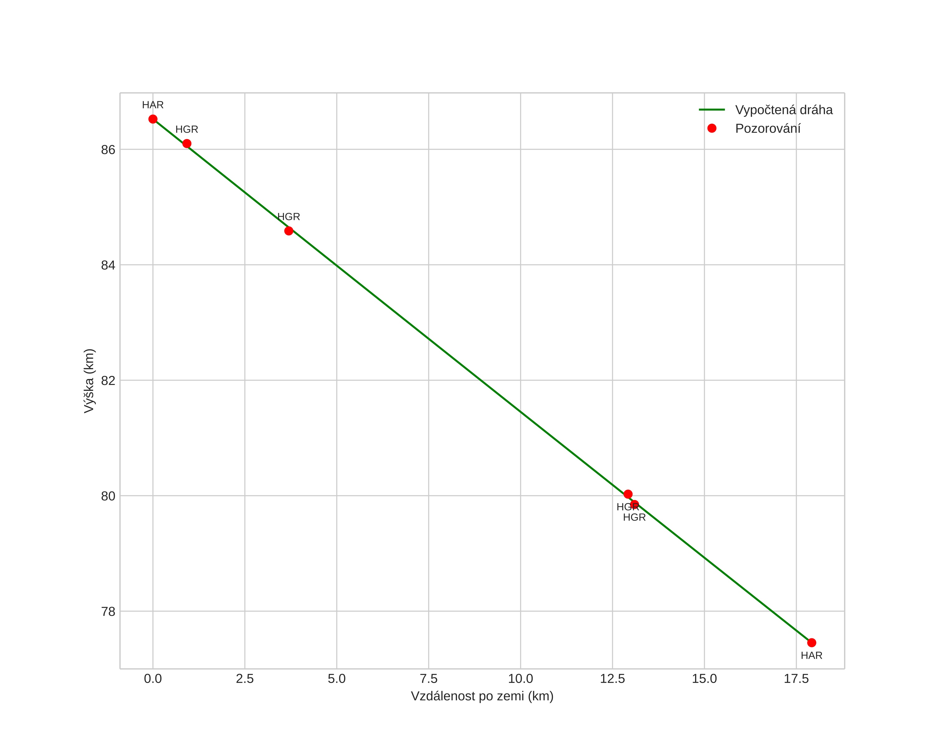
height profile
Atmosférická dráha meteoru:
Počáteční výška: 88,1 km
Konečná výška: 77,6 km
Počáteční poloha: 61,191N 9,181E
Konečná poloha: 61,020N 8,933E
Směr: 215,2°
Sklon: 24,4°
VstupnĂ­ rychlost: 22,1 km/s
Rektascenze radiantu: 17:31 (263,0°)
Deklinace radiantu: 41,4°
MeteorickĂ˝ roj: sporadickĂ˝
Elementy dráhy meteoroidu:
Vzdálenost v periheliu: 0,934 AU
Excentricita: 0,588
Sklon dráhy: 27,8°
Délka vzestupného uzlu: 241,0°
Argument perihelia: 148,6°
Střední anomálie: 6,8°
Epocha: 2024 NOV 23 03:49:06
orbit plot

NeinteraktivnĂ­ graf | InteraktivnĂ­ graf

position vs time
speed and acceleration