🇳🇴 🇬🇧 🇩🇪 🇨🇿 🇫🇮

Meteor Jevnakerin yllä 2024-11-23 05:27:09 UTC

KML-tiedosto  |  Interaktiivinen kartta

Kartta näyttää meteorin suuntahavainnot. Vaaleammat viivat näyttävät suunnat havaintoasemilta meteorin ilmestyessä, ja tummemmat viivat näyttävät, missä se viimeksi nähtiin. Sininen nuoli näyttää meteorin näkyvän lennon.

static map
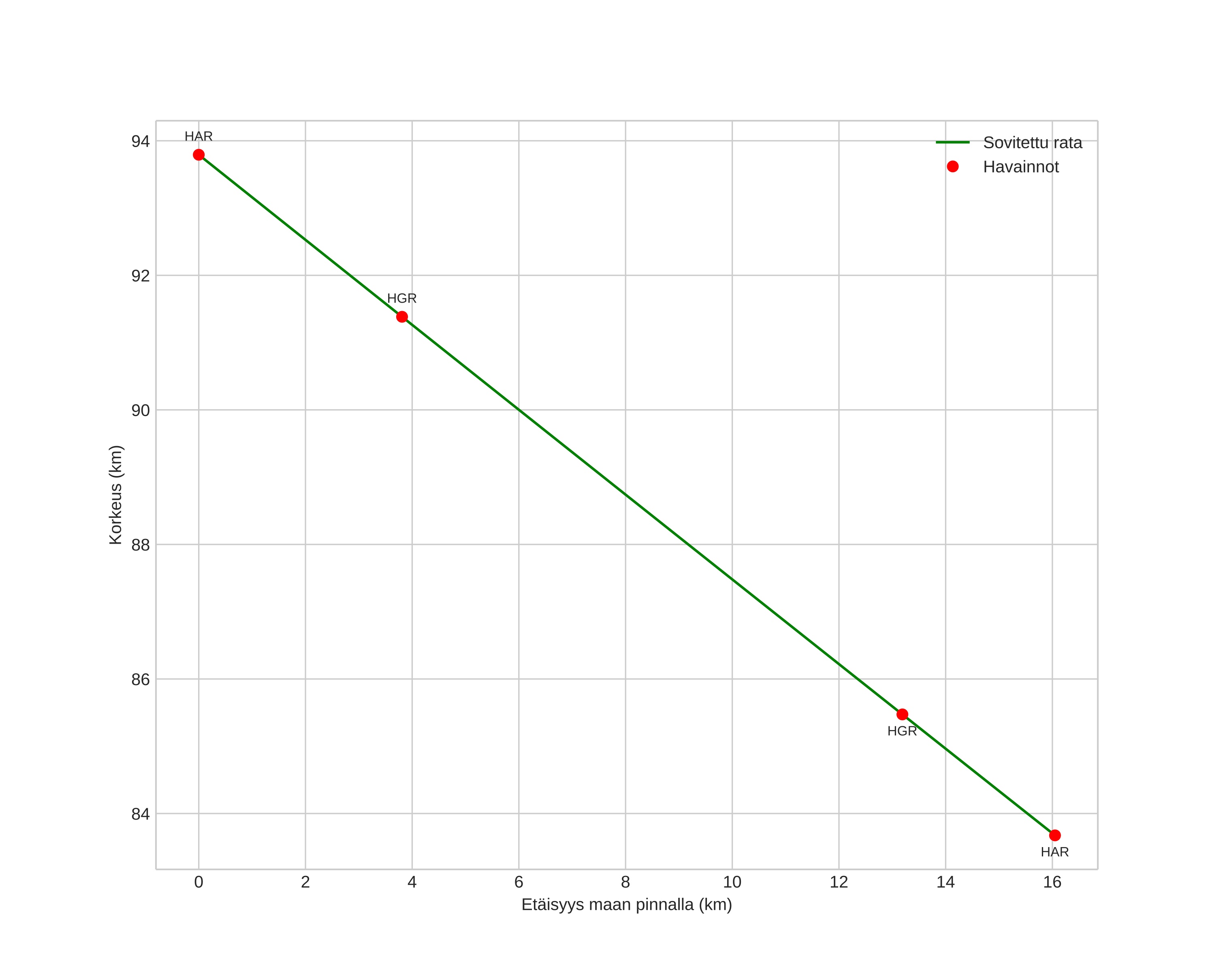
height profile
Meteorin ilmakehärata:
Alkukorkeus: 93,8 km
Loppukorkeus: 83,5 km
Alkupiste: 60,105N 10,129E
Loppupiste: 60,119N 10,423E
Suunta: 84,4°
Kallistuskulma: 32,2°
Tulonopeus: 47,4 km/s
Radiantin R,A,: 05:41 (85,4°)
Radiantin Dekl,: 24,0°
Meteoriparvi: Sporadinen
Meteoroidin rataelementit:
Perihelietäisyys: 0,064 AU
Eksentrisyys: 1,009
Inklinaatio: 2,6°
Nousevan solmun pituus: 241,0°
Perihelin argumentti: 329,6°
Keskianomalia: -1,4°
Epookki: 2024 NOV 23 05:27:09
orbit plot

Ei-interaktiivinen kuvaaja | Interaktiivinen kuvaaja

position vs time
speed and acceleration