🇳🇴 🇬🇧 🇩🇪 🇨🇿 🇫🇮

Meteor, poloha: Heggenes 2024-11-23 05:57:28 UTC

Soubor KML  |  InteraktivnĂ­ mapa

Mapa zobrazuje dráhy meteoru. Světlejší čáry ukazují směry od pozorovacích stanic při objevení se meteoru a tmavší čáry, kde byl naposledy viděn. Modrá šipka značí viditelnou dráhu meteoru.

static map
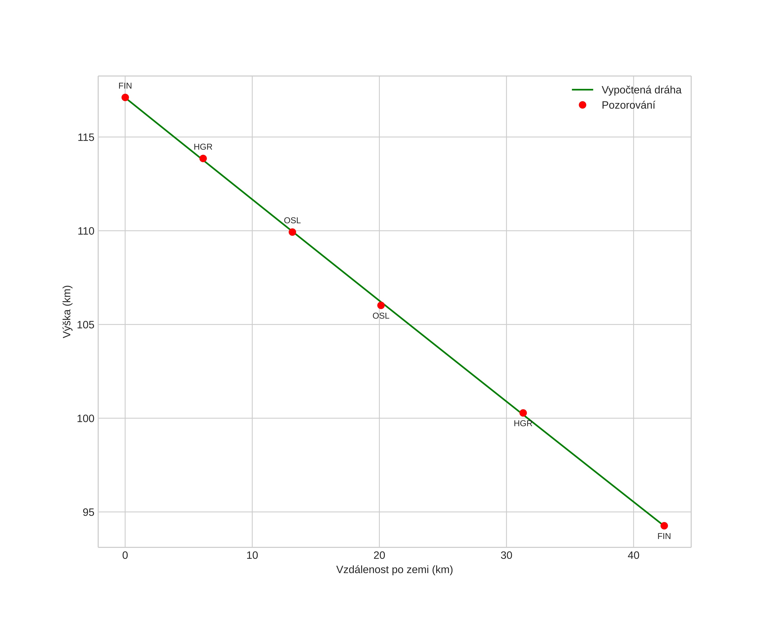
height profile
Atmosférická dráha meteoru:
Počáteční výška: 117,3 km
Konečná výška: 93,5 km
Počáteční poloha: 61,012N 8,655E
Konečná poloha: 61,322N 9,143E
Směr: 37,0°
Sklon: 28,8°
VstupnĂ­ rychlost: 38,2 km/s
Rektascenze radiantu: 08:30 (127,7°)
Deklinace radiantu: 3,3°
MeteorickĂ˝ roj: sporadickĂ˝
Elementy dráhy meteoroidu:
Vzdálenost v periheliu: 0,057 AU
Excentricita: 0,902
Sklon dráhy: 105,8°
Délka vzestupného uzlu: 61,1°
Argument perihelia: 170,4°
Střední anomálie: 254,0°
Epocha: 2024 NOV 23 05:57:28
orbit plot

NeinteraktivnĂ­ graf | InteraktivnĂ­ graf

position vs time
speed and acceleration