🇳🇴 🇬🇧 🇩🇪 🇨🇿 🇫🇮

Meteor Yavornytsken yllä 2024-11-23 16:18:40 UTC

KML-tiedosto  |  Interaktiivinen kartta

Kartta näyttää meteorin suuntahavainnot. Vaaleammat viivat näyttävät suunnat havaintoasemilta meteorin ilmestyessä, ja tummemmat viivat näyttävät, missä se viimeksi nähtiin. Sininen nuoli näyttää meteorin näkyvän lennon.

static map
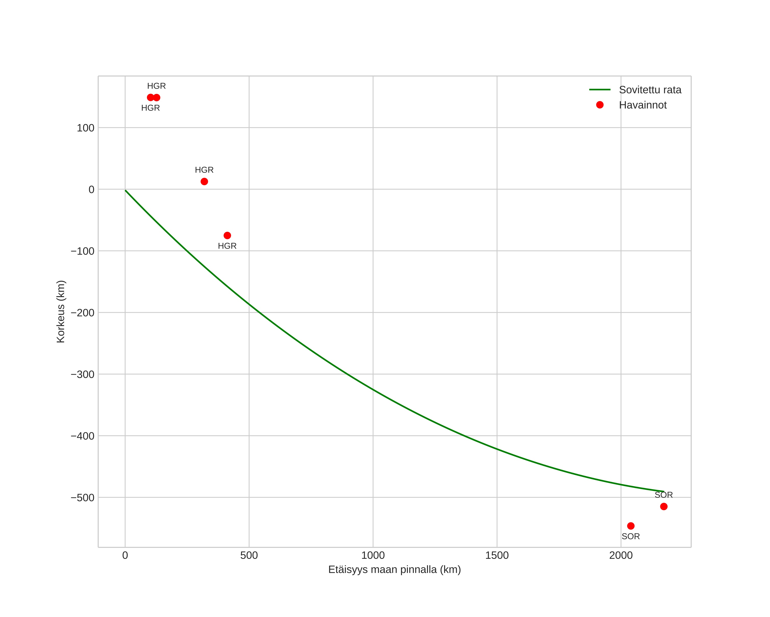
height profile
Meteorin ilmakehärata:
Alkukorkeus: 14,2 km
Loppukorkeus: -519,4 km
Alkupiste: 63,651N 11,363E
Loppupiste: 48,414N 35,218E
Suunta: 128,3°
Kallistuskulma: 13,5°
Tulonopeus: 0,2 km/s
orbit plot

Ei-interaktiivinen kuvaaja | Interaktiivinen kuvaaja

position vs time
speed and acceleration

Sorreisa (SOR) cam4

gnomonic
Videot:
• Alkuperäinen
Kuvat:
• Alkuperäinen
Tekstitiedostot:
• Havaintoraportti
• Observaatio
• Koordinaatit
• Loki
Kirkkaus