🇳🇴 🇬🇧 🇩🇪 🇨🇿 🇫🇮

Meteor, poloha: Innbygda 2024-11-23 17:02:15 UTC

Soubor KML  |  InteraktivnĂ­ mapa

Mapa zobrazuje dráhy meteoru. Světlejší čáry ukazují směry od pozorovacích stanic při objevení se meteoru a tmavší čáry, kde byl naposledy viděn. Modrá šipka značí viditelnou dráhu meteoru.

static map
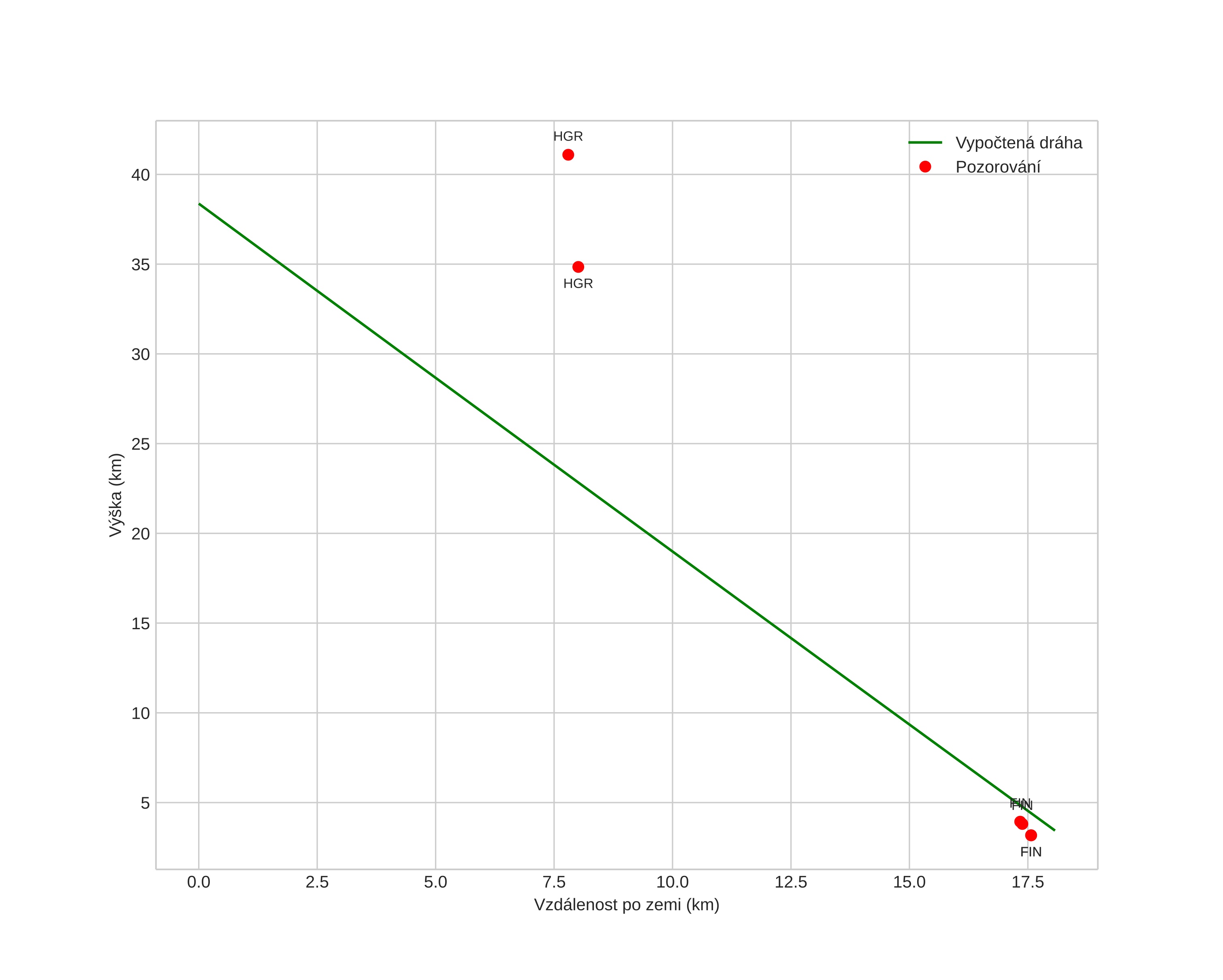
height profile
Atmosférická dráha meteoru:
Počáteční výška: 37,9 km
Konečná výška: 3,4 km
Počáteční poloha: 61,171N 12,232E
Konečná poloha: 61,122N 12,527E
Směr: 108,7°
Sklon: 64,2°
VstupnĂ­ rychlost: 12,7 km/s
Rektascenze radiantu: 17:33 (263,4°)
Deklinace radiantu: 52,7°
MeteorickĂ˝ roj: sporadickĂ˝
Elementy dráhy meteoroidu:
Vzdálenost v periheliu: 0,978 AU
Excentricita: 0,086
Sklon dráhy: 11,3°
Délka vzestupného uzlu: 241,5°
Argument perihelia: 151,5°
Střední anomálie: 24,1°
Epocha: 2024 NOV 23 17:02:15
orbit plot

NeinteraktivnĂ­ graf | InteraktivnĂ­ graf

position vs time
speed and acceleration