🇳🇴 🇬🇧 🇩🇪 🇨🇿 🇫🇮

Meteor, poloha: Rena 2024-11-23 17:02:36 UTC

Soubor KML  |  InteraktivnĂ­ mapa

Mapa zobrazuje dráhy meteoru. Světlejší čáry ukazují směry od pozorovacích stanic při objevení se meteoru a tmavší čáry, kde byl naposledy viděn. Modrá šipka značí viditelnou dráhu meteoru.

static map
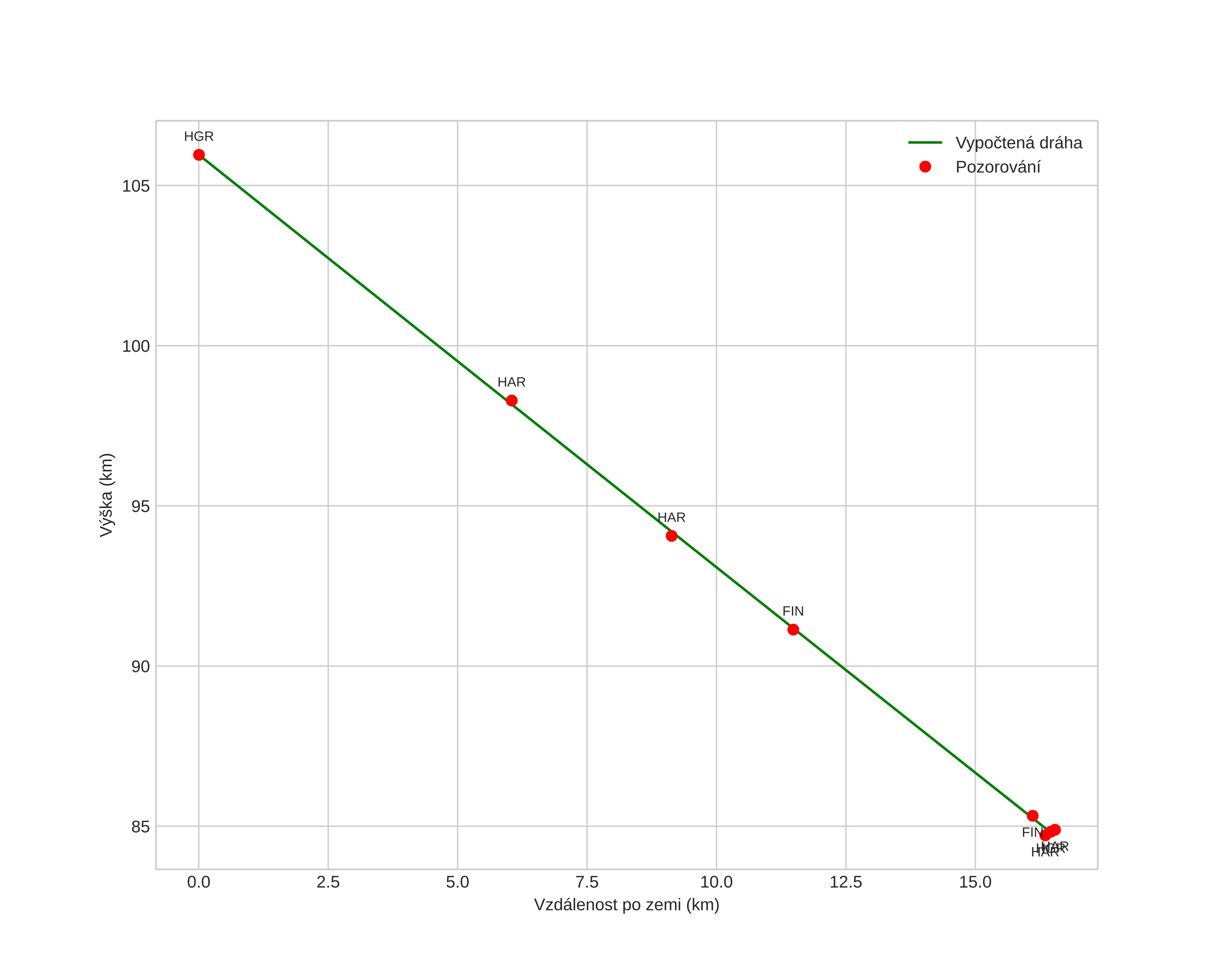
height profile
Atmosférická dráha meteoru:
Počáteční výška: 100,5 km
Konečná výška: 84,7 km
Počáteční poloha: 61,124N 11,019E
Konečná poloha: 61,032N 11,149E
Směr: 145,7°
Sklon: 51,9°
VstupnĂ­ rychlost: 32,4 km/s
Rektascenze radiantu: 15:07 (226,9°)
Deklinace radiantu: 68,2°
MeteorickĂ˝ roj: sporadickĂ˝
Elementy dráhy meteoroidu:
Vzdálenost v periheliu: 0,987 AU
Excentricita: 0,476
Sklon dráhy: 53,6°
Délka vzestupného uzlu: 241,6°
Argument perihelia: 179,3°
Střední anomálie: 0,2°
Epocha: 2024 NOV 23 17:02:36
orbit plot

NeinteraktivnĂ­ graf | InteraktivnĂ­ graf

position vs time
speed and acceleration