🇳🇴 🇬🇧 🇩🇪 🇨🇿 🇫🇮

Meteor, poloha: Hundorp 2024-11-23 19:44:47 UTC

Soubor KML  |  InteraktivnĂ­ mapa

Mapa zobrazuje dráhy meteoru. Světlejší čáry ukazují směry od pozorovacích stanic při objevení se meteoru a tmavší čáry, kde byl naposledy viděn. Modrá šipka značí viditelnou dráhu meteoru.

static map
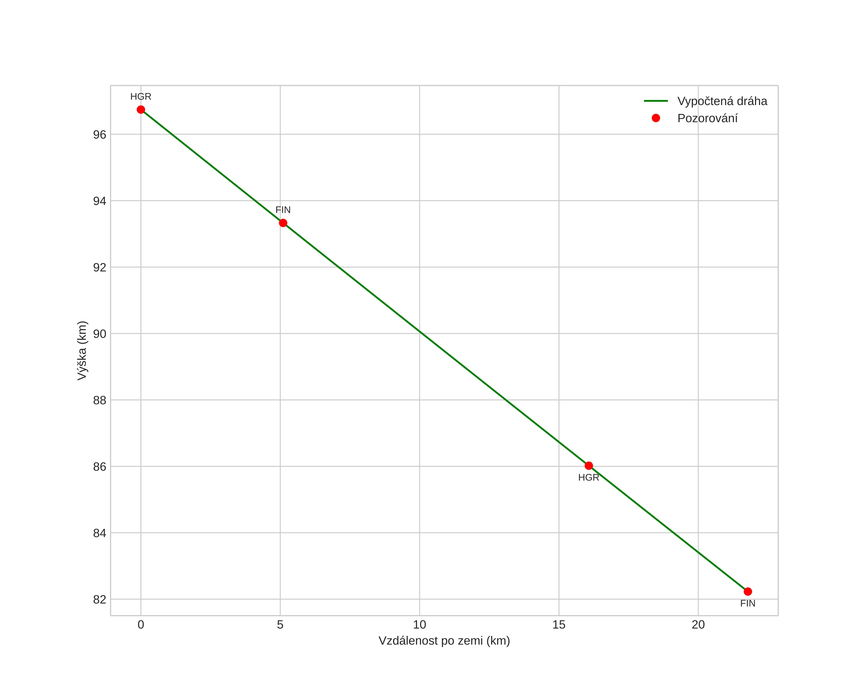
height profile
Atmosférická dráha meteoru:
Počáteční výška: 95,8 km
Konečná výška: 86,7 km
Počáteční poloha: 61,271N 10,050E
Konečná poloha: 61,322N 9,804E
Směr: 293,3°
Sklon: 32,5°
VstupnĂ­ rychlost: 26,9 km/s
Rektascenze radiantu: 04:18 (64,7°)
Deklinace radiantu: 15,5°
MeteorickĂ˝ roj: SevernĂ­ Tauridy
Elementy dráhy meteoroidu:
Vzdálenost v periheliu: 0,505 AU
Excentricita: 0,783
Sklon dráhy: 4,9°
Délka vzestupného uzlu: 61,7°
Argument perihelia: 96,4°
Střední anomálie: 347,7°
Epocha: 2024 NOV 23 19:44:47
orbit plot

NeinteraktivnĂ­ graf | InteraktivnĂ­ graf

position vs time
speed and acceleration